Early Access

Display Method:
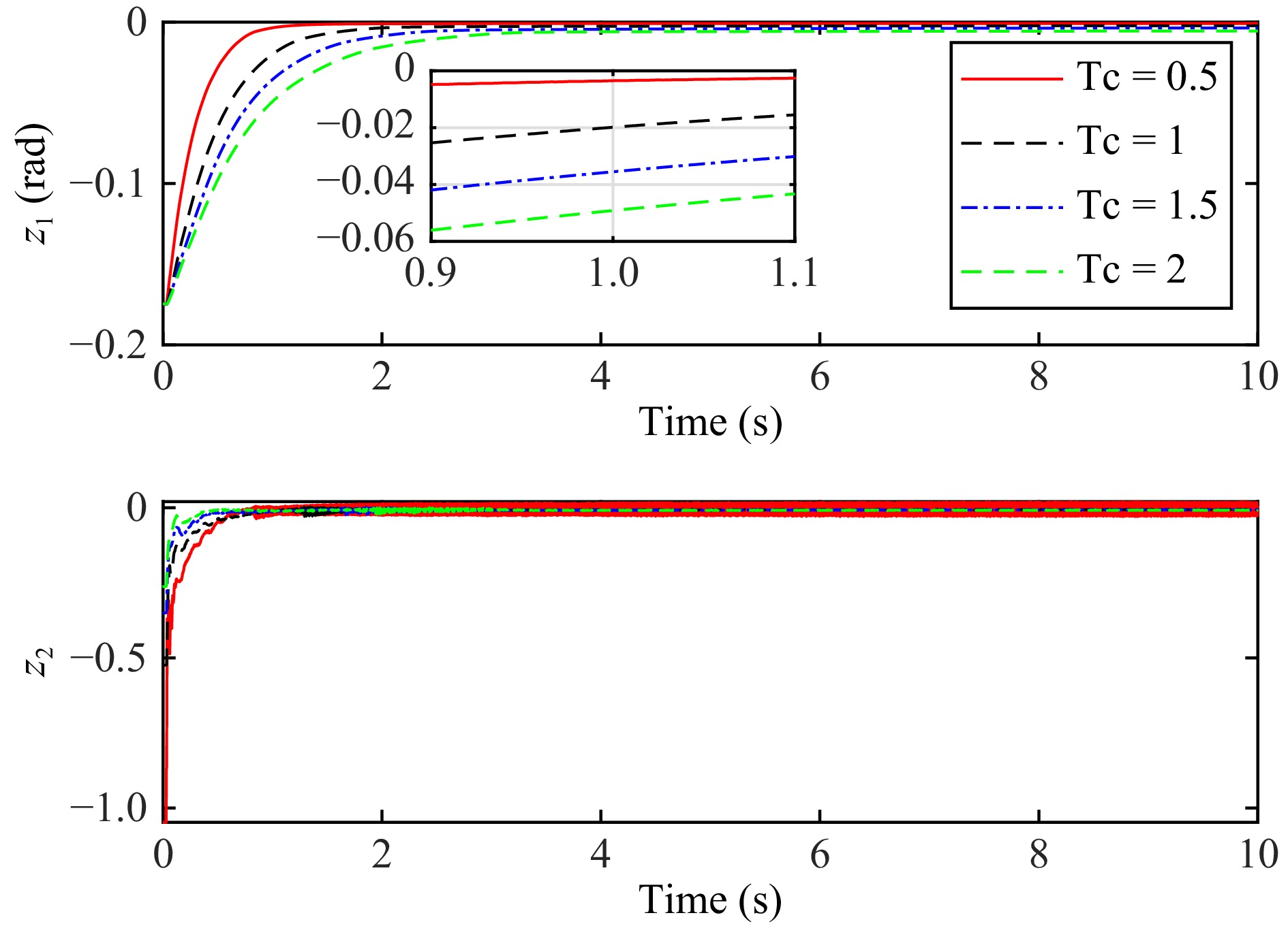
Cartesian Space Control and Joint Tracking Control for a Robotic Arm System with Explicit-time Proportional Convergence
Wen Yan, Tao Zhao, Ben Niu, Zhiyi Shi, Edmond Q. Wu
, Available online  , doi: 10.1109/JAS.2026.125963
Abstract:
The Lyapunov synthesis method is a common controller design strategy in robotic arm motion control. However, it is difficult for this method to achieve fixed-time control without a nonlinear feedback design, whose nonlinearity may cause chattering in the robotic motion. To address this problem, a novel explicit-time control method is proposed using proportional feedback. Not only can the proposed method be applied to the Cartesian space control of the robotic arm system, but it can also be used for the joint-space tracking control. More specifically, under bounded initial condition, the origin of system is attracted to a predefined neighborhood of zero within an explicit fixed-time boundary. Based on that, a robust fixed-time tracking controller of robot is designed by using this linear time-invariant feedback. Besides, compared with other related methods, the proposed method has smoother and lower control input under the same initial condition. In particular, this method enables the robotic arm to achieve a tracking accuracy of 0.1 millimeters and 0.1 degrees within as short as 1.5 seconds, while the repeat positioning accuracy approaches the hardware limit, reaching 0.001 millimeters (±0.03 millimeters) and 0.001 degrees (±0.05 degrees). Theoretical analysis, simulation and experiment verify the main results. Code, data and video are also available, the corresponding links are printed in the relevant places.
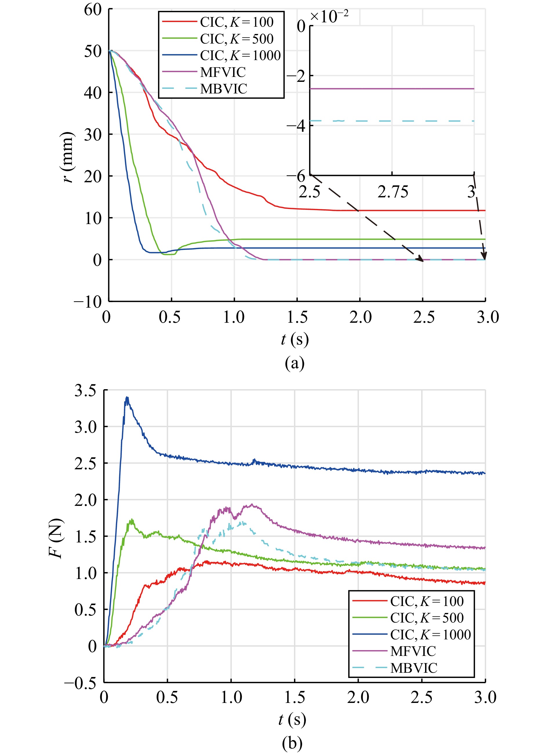
Model-Free Variable Impedance Control of Redundant Manipulators for Soft Tissue Puncture
Hongde Liao, Xin Wang, Zhijun Zhang, Ning Tan
, Available online  , doi: 10.1109/JAS.2025.125693
Abstract:
Robotic-assisted medical technology has long been a key area of research in modern surgical medicine. Robotic-assisted puncture techniques, both theoretically and practically, hold significant potential to improve puncture precision and overall surgical outcomes in clinical practice. This paper presents a model-free variable impedance control (MFVIC) method for robotic soft tissue puncture tasks, enabling high-precision puncture of soft tissues using variable impedance control without requiring model information. Conventional position- or force-based control methods often fail to ensure the precision of puncture or maintain an appropriate puncture force, both of which are critical for the task. The proposed variable impedance control approach allows for accurate puncture to the desired location while maintaining low puncture force throughout the puncture process, thus effectively meeting the demands of the puncture task. Additionally, a Jacobian matrix estimator is designed to estimate the Jacobian matrix of the redundant robotic arm in real-time during operation. This enables precise robot control using sensor data, without the need for prior knowledge of the robot model.
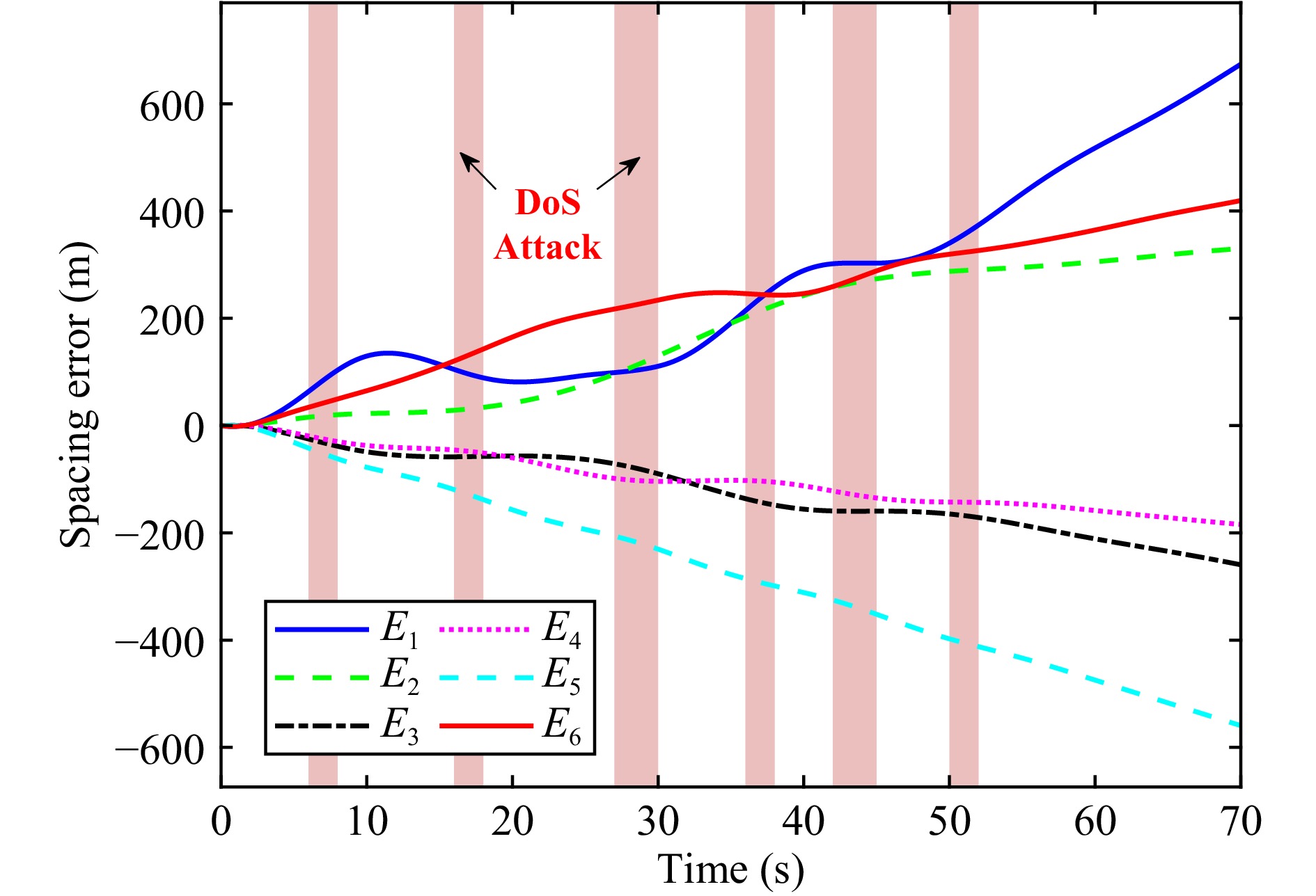
Toward Resilient Vehicle Platooning: A Two-Layer Secure Control Architecture against Hybrid Cyber-Physical Threats
Jian Gong, Lei Ding, Chengfeng Jia, Yutian Liu, Jinde Cao
, Available online  , doi: 10.1109/JAS.2026.125909
Abstract:
This paper presents a hierarchical secure control framework for resilient vehicular platooning under hybrid cyber-physical threats, including coupled false data injection (FDI) and denial-of-service (DoS) attacks, as well as actuator faults. A two-layer architecture is adopted to decouple cyber-layer disruptions from physical-layer execution, thereby enhancing system modularity and fault isolation. At the upper layer, a virtual platoon system is constructed, where a distributed resilient controller integrated with an event-triggered mechanism (ETM) is developed to ensure coordinated behavior while reducing communication overhead. At the lower layer, an adaptive fault-tolerant tracking controller is designed to compensate for actuator degradation and external disturbances, enabling each physical vehicle to follow its virtual reference independently. A layer-wise Lyapunov-based analysis is conducted to guarantee the practical exponential stability of the hierarchical control framework, where tractable LMI conditions are derived for both the cyber coordination and physical tracking components. Simulation results demonstrate that the proposed architecture effectively mitigates fault propagation, maintains robust performance under concurrent cyber and physical threats, and outperforms non-hierarchical benchmarks in terms of system stability.
Gain-Based Neural Secure Protection Control for Feedforward Nonlinear Systems With Unknown Control Coefficients and Impulsive FDI Attacks
Debao Fan, Qingrong Liu, Rong Su, Xianfu Zhang, Wenjie Zhang
, Available online  , doi: 10.1109/JAS.2025.125807
Abstract:
This paper proposes a gain-based neural secure protection (GBNSP) control scheme for feedforward nonlinear systems subject to unknown control coefficients and impulsive false data injection (FDI) attacks. Notably, the nonlinear functions of the systems are relaxed to any continuous functions and the control coefficients are permitted to be constants with both unknown sizes and signs, a scenario not covered in existing works. Furthermore, the uncertain abrupt changes in system states caused by impulsive FDI attacks inevitably exacerbate the challenges in control design. To this end, this paper integrates the neural network technique and the gain control method to propose a novel GBNSP control scheme. Specifically, the neural network technique effectively compensates for strong nonlinearities and uncertainties, while the gain control method quantifies the tolerable frequency of impulsive FDI attacks and avoids the tedious design procedures. It is shown that, under the designed GBNSP controller, all closed-loop signals remain bounded and the system states eventually converge to an adjustable neighborhood near the origin. Moreover, an enhanced GBNSP control scheme incorporates an improved gain scaling mechanism to withstand unknown external disturbances. In the end, the effectiveness and practicality of the proposed scheme are validated by a theoretical example and a practical example.
Reinforcement Learning-Based Adaptive Optimal Control for a Snake Robot
Yang Xiu, Zhiyi Shi, Guanghong Liu, Rob Law, Dongfang Li, Aiguo Song, Edmond Q. Wu
, Available online  , doi: 10.1109/JAS.2025.125762
Abstract:
Due to the difficulty of accurately modeling snake robots, model-based control schemes are ineffective, and the constraints of motion velocity and energy consumption pose challenges to meandering gait. In this work, a two-layer reinforcement learning-based adaptive optimal control framework for snake robots is proposed to achieve trajectory tracking motion of optimal energy efficiency gait. A multi-objective problem for gait amplitude, frequency, and phase is established in the optimization layer, which balances minimizing energy consumption and maximizing velocity by weighted summation. Multiple matching results of gait parameters and performance are obtained through proximal policy optimization, allowing users to select the optimal combination. In the control layer, an actor-critic-identifier neural network-based reinforcement learning optimal controller is designed by considering the difficulty in solving dynamics unknowns and Bellman equation. It adaptively fits the cost function and control policy, reducing the dependence on an accurate model and avoiding computational complexity. Theoretical analysis demonstrates that the proposed method can guarantee stability of tracking errors for snake robots, with optimal cost. Comparative simulation experiment results show the effectiveness and superiority of this method.
Formation Control of Multi-Agent Systems With Position Constraints on a Closed Curve
Cheng Song, Yongqin He, Jianbin Qiu, Shengyuan Xu
, Available online  , doi: 10.1109/JAS.2025.125219
Abstract:
Adaptive Dynamic Trade-off Optimization between Manipulability and Sparsity for Redundant Manipulators
Zhaoyang Song, Wei Chen, Huichao Cao
, Available online  , doi: 10.1109/JAS.2026.125759
Abstract:
Distribution Network Partitioning for Voltage Regulation Using Heterogeneous Graph Neural Networks Considering Cyber-Attacks Risk
Lei Xu, Bo Zhang, Chunxia Dou, Dong Yue
, Available online  , doi: 10.1109/JAS.2026.125795
Abstract:
Data-Driven Distributed Model Predictive Control for Large-Scale Systems with Actuator Faults
Yan Li, Hao Zhang, Huaicheng Yan, Yongxiao Tian, Yanfei Zhu
, Available online  , doi: 10.1109/JAS.2025.125858
Abstract:
Majorization-Minimization-Based Neural Dynamics for Time-Variant Optimization Under Multi-Set Constraints
Ying Liufu, Yongji Guan
, Available online  , doi: 10.1109/JAS.2026.125768
Abstract:
Distributed Optimal Consensus Control of Multi-Agent Systems Under Indifferent and Self-Sacrificing Alienation
Yue Zhang, Yan-Wu Wang, Xiao-Kang Liu
, Available online  , doi: 10.1109/JAS.2025.125861
Abstract:
Knowledge-Assistant Deep Reinforcement Learning for Multi-Agent Region Protection
Siqing Sun, Tianbo Li
, Available online  , doi: 10.1109/JAS.2025.125912
Abstract:
A New Parameter Estimation Methodology Using Steady State Yaw Rate Measurements for Lateral Vehicle Dynamics
Zhihong Man, Mingcong Deng, Zenghui Wang, Qing-long Han
, Available online  , doi: 10.1109/JAS.2025.125366
Abstract:
In this paper, the lateral dynamics of road vehicles (LDRV) is further studied from the viewpoint of vehicle informatics. It is seen that LDRV is first decoupled and the vehicle slip angle is proved to be observable from the yaw rate measurements. A new methodology of parameter estimation using steady-state yaw rate measurements (PESYRM) is then developed to accurately estimate the parameters of LDRV. The important characteristics of PESYRM comprise four parts: ( i ) The steering angle input to LDRV is chosen as the linear combination of sinusoids; ( ii ) Only the steady state information of yaw rate in any fundamental period is required to accurately estimate the unknown parameters of LDRV; ( iii ) Unlike many existing parameter estimation methods, the time consuming computing of the inverse of high-dimensional data matrix is avoided by making full use of the orthogonal properties of trigonometric base functions; ( iv ) All of system information of LDRV is embedded in the measurements of the steady state yaw rate in any fundamental period. A simulation example is carried out to show the advantages and effectiveness of the new research findings for LDRV.
MFAINet: Multi-Receptive Field Feature Fusion With Attention-Integrated for Polyp Segmentation
Guangzu Lv, Bin Wang, Cunlu Xu, Weiping Ding, Jun Liu
, Available online  , doi: 10.1109/JAS.2025.125408
Abstract:
Colorectal cancer has become a global public health concern. Removing polyps before they become malignant can effectively prevent the onset of colorectal cancer. Currently, multi-receptive field feature extraction and attention mechanisms have achieved significant success in polyp segmentation. However, how to effectively fuse these mechanisms and fully leverage their respective strengths remains an open problem. In this paper, we propose a polyp segmentation network, MFAINet. We design an attention-integrated multi-receptive field feature extraction module (AMFE), which uses layering and multiple weightings to fuse the multi-receptive field feature extraction and attention mechanisms, maximizing the extraction of both global and detailed information from the image. To ensure that the input to AMFE contains richer target feature information, we introduce a multi-layer progressive fusion module (MPF). MPF progressively merges features at each layer, fully integrating contextual information. Finally, we employ the selective fusion module (SFM) to combine the high-level features produced by AMFE, resulting in an accurate polyp segmentation map. To evaluate the learning and generalization capabilities of MFAINet, we conduct experiments on five widely-used public polyp datasets using four evaluation metrics. Notably, our model achieves the best results in nearly all cases. The source code is available at: https://github.com/MFAINet.
Distributed Gain Scheduling Dynamic Event-Triggered Semi-Global Leader-Following Consensus of Input Constrained MASs Under Fixed/Switching Topologies
Meilin Li, Tieshan Li, Hongjing Liang
, Available online  , doi: 10.1109/JAS.2025.125417
Abstract:
In this paper, the semi-global leader-following consensus issue of multi-agent systems with constrained input under fixed and switching topologies is investigated via a distributed gain scheduling dynamic event-triggered method. First, a novel distributed gain scheduling consensus protocol is proposed under fixed topology, which integrates time-varying gain and distributed parameter schedulers. This approach enhances the transient performance of consensus tracking by enlarging the gain parameter through the scheduler, while the reliance of the scheduler on global state information is eliminated via a distributed design method. Subsequently, a distributed dynamic event-triggered mechanism is introduced to reduce the controller updates, while the expression of the inter-event times mitigates its explicit reliance on the system matrix. Additionally, to eliminate the need for real-time monitoring of neighboring agents’ states and continuous communication, a distributed dynamic self-triggered mechanism is developed. Next, our approaches are extended to solve the semi-global leader-following consensus problem under switching topologies. The average dwell time technique is employed to alleviate the limitations on the switching rate among multiple topologies. Finally, the theoretical analysis is validated through simulation results.
Multi-Agent Swarm Optimization With Contribution-Based Cooperation for Distributed Multi-Target Localization and Data Association
Tai-You Chen, Xiao-Min Hu, Qiuzhen Lin, Wei-Neng Chen
, Available online  , doi: 10.1109/JAS.2025.125150
Abstract:
With the development of communication and computation capabilities on terminal hardware, it is promising to apply distributed optimization methods to wireless sensor networks to improve the autonomous collaboration ability of sensors. In this work, we study distributed optimization for multi-target localization with measurement-to-measurement association (DM2M), where each sensor only accesses its own measurement data without the association of measurements from other sensors. We first reformulate DM2M into a distributed bilevel optimization problem to reduce the search space of negotiated variables caused by the data association among sensors. Then, we propose a multi-agent swarm optimization method with contribution-based cooperation (MASTER). In MASTER, each sensor maintains a particle swarm to represent candidate solutions of target positions. Sensors evolve their particle swarms through two phases of local optimization and neighbor cooperation to locate the target cooperatively. To address the bilevel local objective function, we combine the Kuhn-Munkres algorithm and the competitive swarm optimization for local optimization. To promote sensors to optimize the global objective, we design a contribution-based cooperation method to guide sensors to learn from their neighbors. Through localization experiments for different target numbers and localization dimensions, the proposed algorithm achieves smaller localization errors and more stable consensus than existing algorithms.
KT-RC: Kernel Time-Delayed Reservoir Computing for Time Series Prediction
Heshan Wang, Mengmeng Chen, Kunjie Yu, Jing Liang, Zhaomin Lv, Zhong Zhang
, Available online  , doi: 10.1109/JAS.2024.124986
Abstract:
Reservoir computing (RC) is an efficient recurrent neural network (RNN) method. However, the performance and prediction results of traditional RCs are susceptible to several factors, such as their network structure, parameter setting, and selection of input features. In this study, we employ a kernel time-delayed RC (KT-RC) method for time series prediction. The KT-RC transforms input vectors linearly to obtain a high-dimensional set of time-delayed linear eigenvectors, which are then transformed by various kernel functions to represent the nonlinear characteristics of the input signal. Finally, the Bayesian optimization algorithm adjusts the few remaining weights and kernel parameters to minimize the manual adjustment process. The advantages of KT-RC can be summarized as follows: 1) KT-RC solves the problems of uncertainty in weight matrices and difficulty in large-scale parameter selection in the input and hidden layers of RCs. 2) The KT module can avoid massive reservoir hyperparameters and effectively reduce the hidden layer size of the traditional RC. 3) The proposed KT-RC shows good performance, strong stability, and robustness in several synthetic and real-world datasets for one-step-ahead and multistep-ahead time series prediction. The simulation results confirm that KT-RC not only outperforms some gate-structured RNNs, kernel vector regression models, and recently proposed prediction models but also requires fewer parameters to be initialized and can reduce the hidden layer size of the traditional RCs. The source code is available at https://github.com/whs7713578/RC.
Efficient Centralized Traffic Grid Signal Control Based on Meta-Reinforcement Learning
Jia Wu, Yican Lou
, Available online  , doi: 10.1109/JAS.2023.123270
Abstract:
Supplementary File of “Push-Sum Based Algorithm for Constrained Convex Optimization Problem and Its Potential Application in Smart Grid”
Qian Xu, Zao Fu, Bo Zou, Hongzhe Liu, Lei Wang
, Available online  
Abstract:
Supplementary Material for “Collision and Deadlock Avoidance in Multi-Robot Systems Based on Glued Nodes”
Zichao Xing, Xinyu Chen, Xingkai Wang, Weimin Wu, Ruifen Hu
, Available online  
Abstract: