A journal of IEEE and CAA , publishes high-quality papers in English on original theoretical/experimental research and development in all areas of automation
Volume 12 Issue 10
Oct.  2025

IEEE/CAA Journal of Automatica Sinica

  • JCR Impact Factor: 19.2, Top 1 (SCI Q1)
    CiteScore: 28.2, Top 1% (Q1)
    Google Scholar h5-index: 95, TOP 5
Turn off MathJax
Article Contents
V. Mihaly, M. Șușcă, and P. Dobra, “Fixed-structure robust feedback linearization for full relative degree nonlinear systems,” IEEE/CAA J. Autom. Sinica, vol. 12, no. 10, pp. 2026–2039, Oct. 2025. doi: 10.1109/JAS.2025.125354
Citation: V. Mihaly, M. Șușcă, and P. Dobra, “Fixed-structure robust feedback linearization for full relative degree nonlinear systems,” IEEE/CAA J. Autom. Sinica, vol. 12, no. 10, pp. 2026–2039, Oct. 2025. doi: 10.1109/JAS.2025.125354

Fixed-Structure Robust Feedback Linearization for Full Relative Degree Nonlinear Systems

doi: 10.1109/JAS.2025.125354
Funds:  The work was funded by the project new smart and adaptive robotics solutions for personalized minimally invasive surgery in cancer treatment − ATHENA, European Union – NextGenerationEU and Romanian Government, under National Recovery and Resilience Plan for Romania (CF116/15.11.2022), through the Romanian Ministry of Research, Innovation and Digitalization (within Component 9, investment I8)
More Information
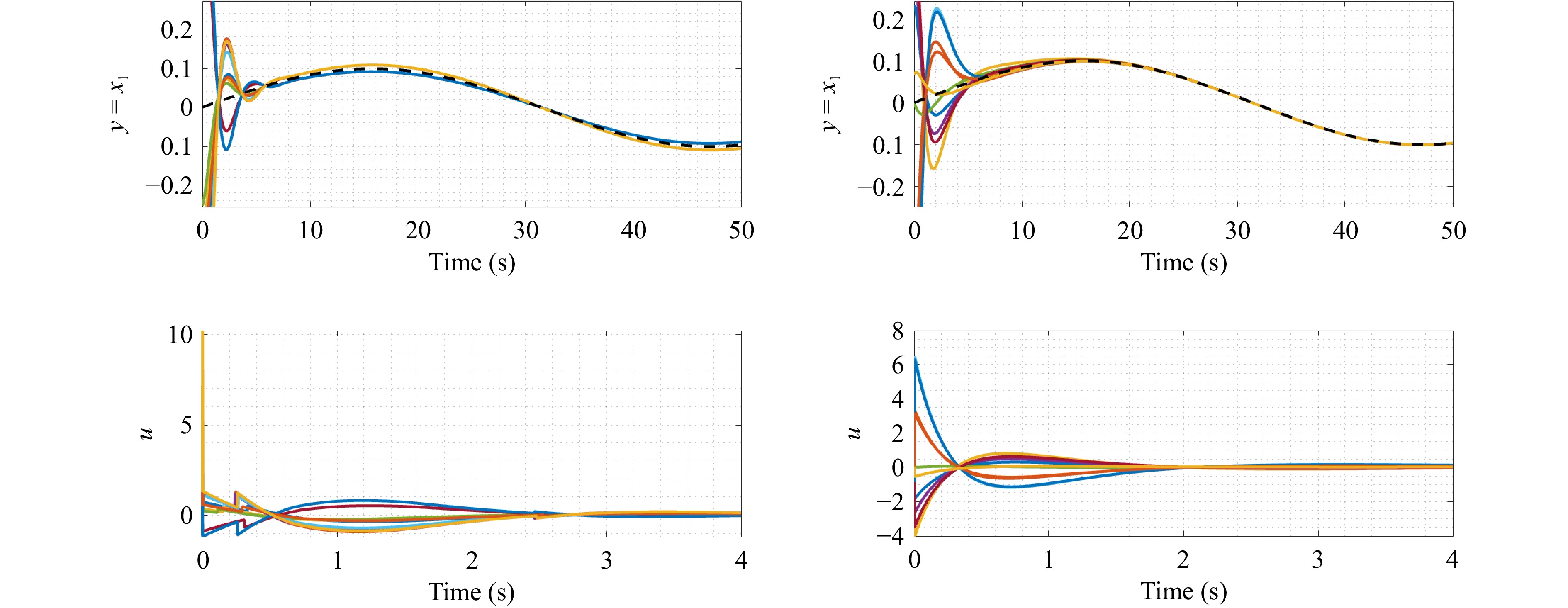
  • The exact feedback linearization method implies an accurate knowledge of the model and its parameters. This assumption is an inherent limitation of the method, suffering from robustness issues. In general, the model structure is only partially known and its parameters present uncertainties. The current paper extends the classical exact feedback linearization to the robust feedback linearization by adding an appropriately-designed robust control layer. This is then able to ensure robust stability and robust performance for the given uncertain system in a desired region of attraction. We consider the case of full relative degree input-affine nonlinear systems, which are of great practical importance in the literature. The inner loop contains the feedback linearization input for the nominal system and the resulting residual nonlinearities can always be characterized as inverse additive uncertainties. The constructive proofs provide exact representations of the uncertainty models in three considered scenarios: unmatched, fully-matched, and partially-matched uncertainties. The uncertainty model will be a descriptor system, which also represents one of the novelties of the paper. Our approach leads to a simplified control structure and a less conservative coverage of the uncertainty set compared to current alternatives. The end-to-end procedure is emphasized on an illustrative example, in two different hypotheses.

     

  • loading
  • [1]
    R. W. Brockett, “Feedback invariants for nonlinear systems,” IFAC Proceedings Volumes, vol. 11, no. 1, pp. 1115–1120, Jun. 1978. doi: 10.1016/S1474-6670(17)66062-2
    [2]
    A. Isidori, Nonlinear Control Systems, 3rd Ed. London, UK: Springer, 1995.
    [3]
    H. K. Khalil, Nonlinear Control, Global Edition, 1st Ed. Edinburgh Gate, UK: Pearson Education Limited, 2015.
    [4]
    K. Majd, M. Razeghi-Jahromi, and A. Homaifar, “A stable analytical solution method for car-like robot trajectory tracking and optimization,” IEEE/CAA J. Autom. Sinica, vol. 7, no. 1, pp. 39–47, Jan. 2020. doi: 10.1109/JAS.2019.1911816
    [5]
    A. Isidori, “The zero dynamics of a nonlinear system: From the origin to the latest progresses of a long successful story,” European J. Control, vol. 19, no. 5, pp. 369–378, Sept. 2013. doi: 10.1016/j.ejcon.2013.05.014
    [6]
    A. P. Aguiar, J. P. Hespanha, and P. V. Kokotovic, “Performance limitations in reference tracking and path following for nonlinear systems,” Automatica, vol. 44, pp. 598–610, Mar. 2008. doi: 10.1016/j.automatica.2007.06.030
    [7]
    S. Jiffri, P. Paoletti, and J. E. Mottershead, “Feedback linearization in systems with nonsmooth nonlinearities,” J. Guidance, Control, and Dynamic, vol. 39, no. 4, pp. 1–12, Feb. 2016. doi: 10.2514/1.G001220
    [8]
    W. Respondek, “Orbital feedback linearization of single-input nonlinear control systems,” IFAC Proc. Volumes, vol. 31, no. 17, pp. 483–488, Jul. 1998. doi: 10.1016/S1474-6670(17)40383-1
    [9]
    S. J. Li and W. Respondek, “Orbital feedback linearization for multi-input control systems,” Int. J. Robust and Nonlinear Control, vol. 25, no. 9, pp. 1352–1378, Jun. 2015.
    [10]
    D. A. Fetisov, “A-Orbital feedback linearization of multiinput control affine systems,” Int. J. Robust and Nonlinear Control, vol. 30, pp. 5602–5627, Jul. 2020. doi: 10.1002/rnc.5099
    [11]
    D. A. Fetisov, “On some approaches to linearization of affine systems,” Proc. 11th IFAC Sympo. Nonlinear Control Systems, Vienna, Austria, 2019, pp. 700–705.
    [12]
    J. Doyle, K. Glover, P. Khargonekar, and B. A. Francis, “State-space solutions to standard $\mathcal{H}_2$ and $\mathcal{H}_{\infty}$ control problems,” IEEE Trans. Autom Control, vol. 34, pp. 831–847, Aug. 1989. doi: 10.1109/9.29425
    [13]
    P. Gahinet, and P. Apkarian, “A linear matrix inequality approach to $\mathcal{H}_{\infty}$ control,” Int. J. Robust and Nonlinear Control, vol. 4, pp. 421–448, Apr. 1994. doi: 10.1002/rnc.4590040403
    [14]
    P. Apkarian, “The $\mathcal{H}_{\infty}$ control problem is solved,” in Design and Validation of Aerospace Control Systems, Aerospace Lab, Issue 13, Onera, France, 2017, pp. 1–11.
    [15]
    A. Packard, J. Doyle, and G. Balas, “Linear multivariable robust control with a μ perspective,” J. Dyn. Syst. Measure. and Control, vol. 115, pp. 426–438, Jun. 1993. doi: 10.1115/1.2899083
    [16]
    P. Apkarian, “Nonsmooth μ synthesis,” Int. J. Robust and Nonlinear Control, vol. 21, pp. 1493–1508, Spet. 2011. doi: 10.1002/rnc.1644
    [17]
    S. Skogestad and I. Postlethwaite, Multivariable Feedback Control - Analysis and Design, New York, USA: John Wiley & Sons, 2005.
    [18]
    L. B. Freidovich and H. K. Khalil, “Performance recovery of feedback-linearization-based designs,” IEEE Trans. Autom. Control, vol. 53, no. 10, pp. 2324–2334, Nov. 2008. doi: 10.1109/TAC.2008.2006821
    [19]
    H. R. Karimi and M. R. J. Motlagh, “Robust feedback linearization control for a non linearizable MIMO Nonlinear system in the presence of model uncertainties,” in Proc. IEEE Int. Conf. Service Operations and Logistics, and Informatics, Shanghai, China, 2006, pp. 965–970.
    [20]
    M. Kaheni, M. H. Zarif, A. A. Kalat, and L. Chisci, “Robust feedback linearization for input-constrained nonlinear systems with matched uncertainties,” in Proc. European Control Conf., Limassol, Cyprus, 2018, pp. 2947–2952.
    [21]
    M. Kaheni, M. H. Zarif, A. A. Kalat, and L. Chisci, “Radial pole path approach for fast response of affine constrained nonlinear systems with matched uncertainties,” Int. J. Robust and Nonlinear Control, vol. 30, pp. 142–158, Oct. 2019. doi: 10.1002/rnc.4757
    [22]
    N. Wang and B. Kiss, “A Method to Robustify Exact Linearization Against Parameter Uncertainty,” Int. J. Control, Autom. and Systems, vol. 17, pp. 1–11, Jan. 2019. doi: 10.1007/s12555-017-0703-0
    [23]
    W. Yin, L. Sun, M. Wang, and J. Liu, “Position control of a series elastic actuator based on global sliding mode controller design,” IEEE/CAA J. Autom. Sinica, vol. 6, no. 3, pp. 850–858, Mar. 2019. doi: 10.1109/JAS.2019.1911498
    [24]
    Y. Wu, A. Isidori, R. Lu, and H. K. Khalil, “Performance recovery of dynamic feedback-linearization methods for multivariable nonlinear systems,” IEEE Trans. Autom. Control, vol. 65, no. 4, pp. 1365–1380, Apr. 2020. doi: 10.1109/TAC.2019.2924176
    [25]
    T. Westenbroek, D. Fridovich-Keil, E. Mazumdar, S. Arora, V. Prabhu, S. S. Sastry, and C. J. Tomlin, “Feedback linearization for uncertain systems via reinforcement learning,” in Proc. IEEE Int. Conf. Robotics and Automation, Paris, France, 2020, pp. 1364–1371.
    [26]
    R. G. Goswami, P. Krishnamurthy, and F. Khorrami, “Data-driven deep learning based feedback linearization of systems with unknown dynamics,” in Proc. American Control Conf, San Diego, USA, 2023, pp. 66–71.
    [27]
    A. Nicoletti and A. Karimi, “Robust controller design for linear systems with nonlinear distortions. A Data-Driven Approach,” in Proc. European Control Conf., Limassol, Cyprus, 2018, pp. 1–6.
    [28]
    H. Oersted and Y. Ma, Geometric and Feedback Linearization on UAV: Review, arXiv preprint arXiv 2311.06774, 2023.
    [29]
    M. Hajaya and T. Shaqarin, “Control of a benchmark CSTR using feedback linearization,” Jordanian J. Engineering and Chemical Industries, vol. 2, no. 3, pp. 67–75, Mar. 2019.
    [30]
    Z. Shulong, A. Honglei, Z. Daibing, and S. Lincheng, “A new feedback linearization LQR control for attitude of quadrotor,” in Proc. 13th Int. Conf. Control, Automation, Robotics & Vision, Singapore, 2014, pp. 1593–1597.
    [31]
    C. Lascu, I. Boldea, and F. Blaabjerg, “Direct torque control via feedback linearization for permanent magnet synchronous motor drives,” in Proc. 13th Int. Conf. Optimization of Electrical and Electronic Equipment, 2012, pp. 338–343.
    [32]
    M. Rokonuzzaman, N. Mohajer, S. Nahavandi, and S. Mohamed, “Review and performance evaluation of path tracking controllers of autonomous vehicles,” IET Intelligent Transport Syst., vol. 15, pp. 646–670, Mar. 2021. doi: 10.1049/itr2.12051
    [33]
    K. Poolla, P. Khargonekar, A. Tikku, J. Krause, and K. Nagpal, “A time-domain approach to model validation,” IEEE Trans. Autom. Control, vol. 39, no. 5, pp. 951–959, May 1994. doi: 10.1109/9.284871
    [34]
    G. Balas, R. Chiang, A. Packard, and M. Safonov, Robust Control ToolboxTM Reference, Version 6.11.2 (R2022b), Sept. 2022. [Online], Available: https://www.mathworks.com/help/pdf_doc/robust/robust_ug.pdf.
    [35]
    M. Șușcă, V. Mihaly, and P. Dobra, “Nonconvex valid uncertainty modelling approach for robust control synthesis,” in Proc. 27th Int. Conf. System Theory, Control and Computing, Timișoara, Romania, 2023, pp.269–276.
    [36]
    M. Șușcă, V. Mihaly, M. Stănese, and P. Dobra, “Uncertainty modelling of mechanical systems with derivative behaviour for robust control synthesis,” in Proc. European Control Conf., Bucharest, Romania, 2023, pp. 1–7.

Catalog

    通讯作者: 陈斌, bchen63@163.com
    • 1. 

      沈阳化工大学材料科学与工程学院 沈阳 110142

    1. 本站搜索
    2. 百度学术搜索
    3. 万方数据库搜索
    4. CNKI搜索

    Figures(7)

    Article Metrics

    Article views (53) PDF downloads(8) Cited by()

    /

    DownLoad:  Full-Size Img  PowerPoint
    Return
    Return