A journal of IEEE and CAA , publishes high-quality papers in English on original theoretical/experimental research and development in all areas of automation
Volume 12 Issue 10
Oct.  2025

IEEE/CAA Journal of Automatica Sinica

  • JCR Impact Factor: 19.2, Top 1 (SCI Q1)
    CiteScore: 28.2, Top 1% (Q1)
    Google Scholar h5-index: 95, TOP 5
Turn off MathJax
Article Contents
H. Xiao, X. Lai, Q. Meng, J. She, E. F. Fukushima, and M. Wu, “Comprehensive dynamic model of vertical pneumatic bellows actuator system considering bidirectional asymmetric hysteresis,” IEEE/CAA J. Autom. Sinica, vol. 12, no. 10, pp. 2115–2126, Oct. 2025. doi: 10.1109/JAS.2025.125162
Citation: H. Xiao, X. Lai, Q. Meng, J. She, E. F. Fukushima, and M. Wu, “Comprehensive dynamic model of vertical pneumatic bellows actuator system considering bidirectional asymmetric hysteresis,” IEEE/CAA J. Autom. Sinica, vol. 12, no. 10, pp. 2115–2126, Oct. 2025. doi: 10.1109/JAS.2025.125162

Comprehensive Dynamic Model of Vertical Pneumatic Bellows Actuator System Considering Bidirectional Asymmetric Hysteresis

doi: 10.1109/JAS.2025.125162
Funds:  This work was supported in part by the Young Scientists Fund of National Natural Science Foundation of China (62203408), the Hubei Provincial Natural Science Foundation of China (2015CFA010), the 111 Project (B17040), and China Scholarship Council (202206410070)
More Information
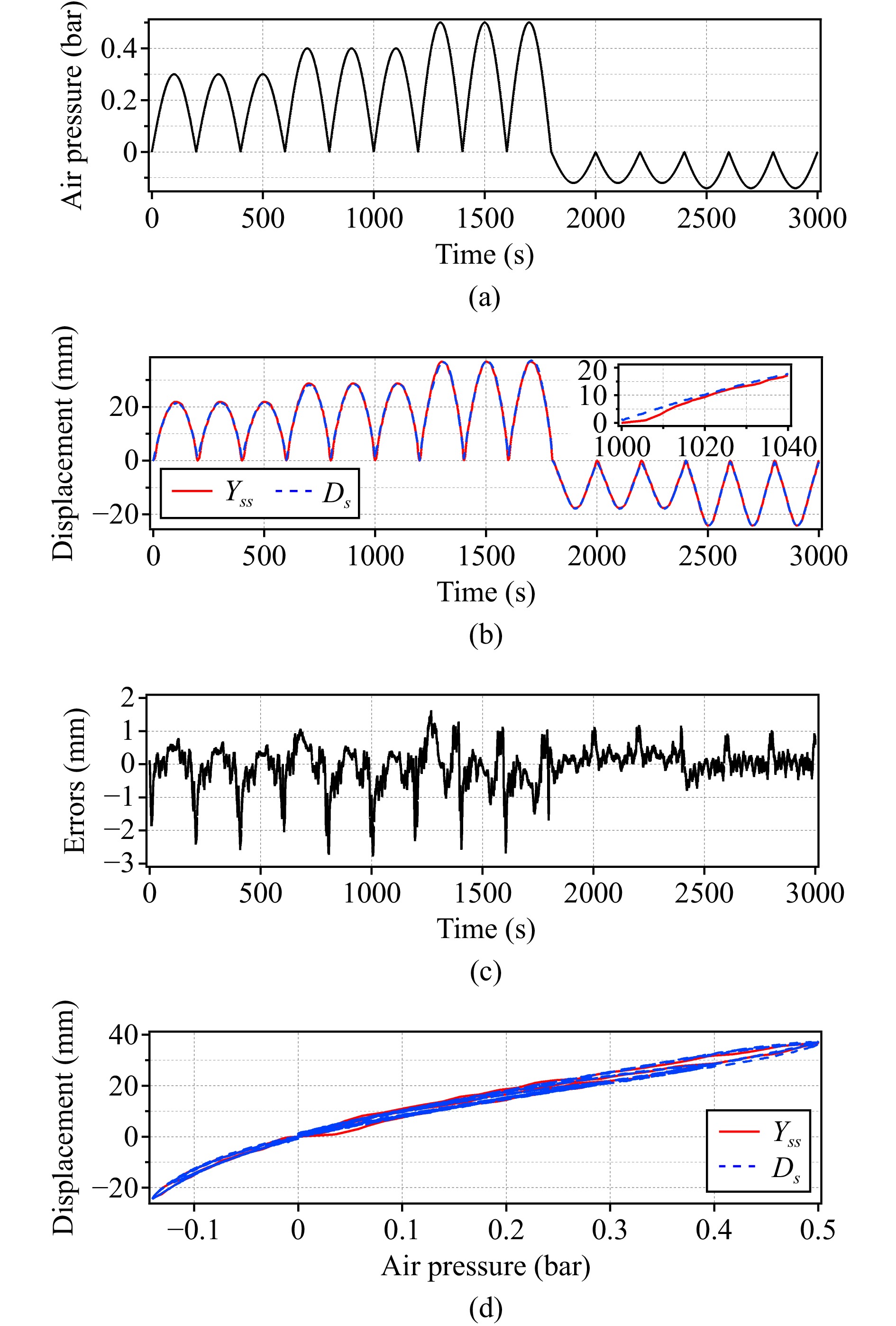
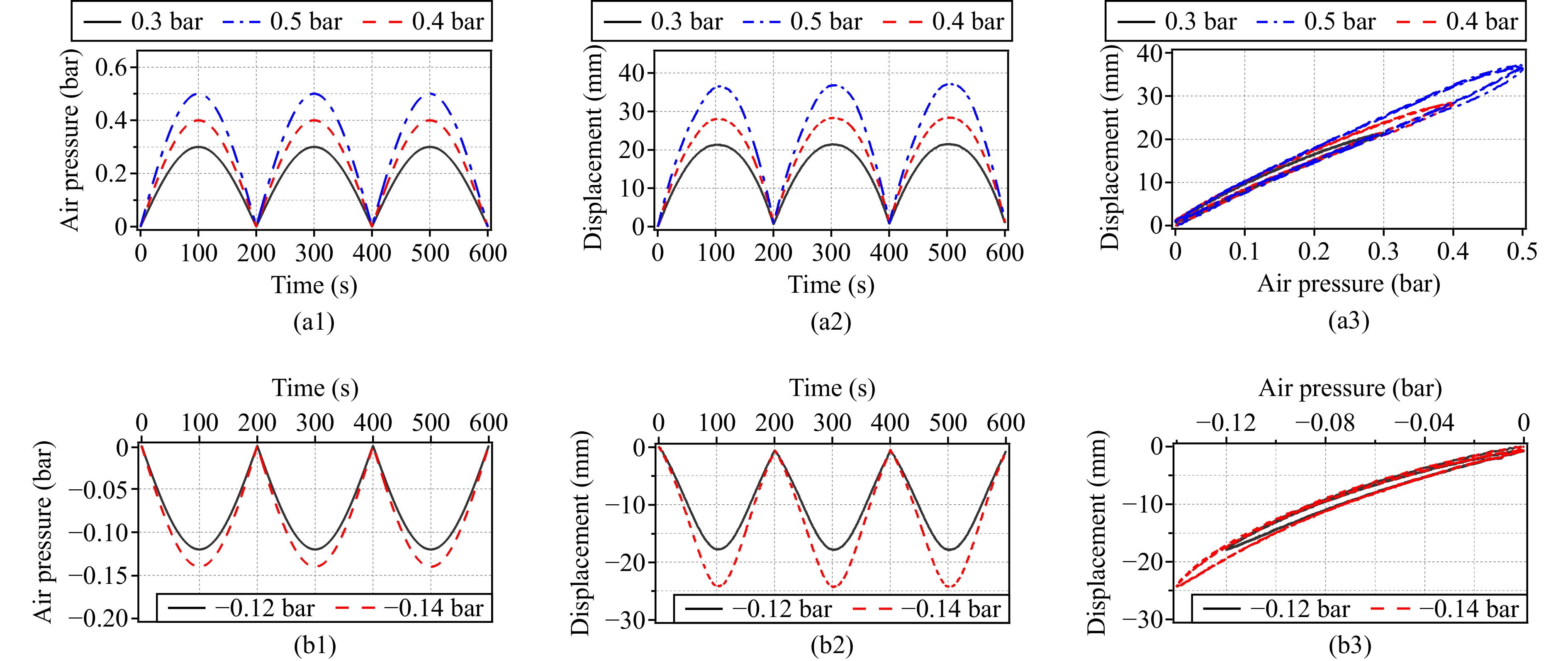
  • The complex nonlinear characteristics of pneumatic soft actuators, such as asymmetric hysteresis, rate-dependence, and mechanical load-dependence, pose a challenge in accurately modeling their dynamics. To address this challenge, this paper proposes a comprehensive dynamic model aimed at describing bidirectional asymmetric hysteresis, rate-dependent, and mechanical load-dependent characteristics of a vertical pneumatic bellows actuator (PBA) system. The dynamic model contains a hysteresis submodel and a load-dependent dynamic submodel. The hysteresis submodel consists of several sets of weighted double-side play (DSP) and weighted dead-zone (DZ) operators connected in series, and it is used to model the bidirectional asymmetric hysteresis of the system. The load-dependent dynamic submodel is built based on the gated recurrent unit (GRU) neural network, and it is used to fit the nonlinear relationship between the displacement of the system and the frequency of the input air pressure as well as the mechanical load. The model parameters of the hysteresis submodel and the load-dependent dynamic submodel are determined by intelligent optimization method and neural network training method, reseparately. The fitness value (FV) between the output of the dynamic model and the experimental data is calculated to be 96.1736%, demonstrating that the parameters of the dynamic model are valid. We conduct six set of experiments to compare the model output with the experimental data, and calculate the root-mean-square errors and the maximum error, respectively. The experimental results show that, the root-mean-square error remains consistently below 2.7700%, while the maximum error remains below 8.4000% across all experiments, thereby substantiating the validity and generality of the proposed model.

     

  • loading
  • [1]
    F. Xu and H. Wang, “Soft robotics: Morphology and morphology-inspired motion strategy,” IEEE/CAA J. Autom. Sinica, vol. 8, no. 9, pp. 1500–1522, Sep. 2021. doi: 10.1109/JAS.2021.1004105
    [2]
    Z. Li, Z. Li, H. Xu, X. Zhang, and C.-Y. Su, “Development of a butterfly fractional-order backlash-like hysteresis model for dielectric elastomer actuators,” IEEE Trans. Ind. Electron., vol. 70, no. 2, pp. 1794–1801, Feb. 2023. doi: 10.1109/TIE.2022.3163553
    [3]
    J. Wu, W. Ye, Y. Wang, and C.-Y. Su, “Modeling of photo-responsive liquid crystal elastomer actuators,” Inf. Sci., vol. 560, pp. 441–455, Jun. 2021. doi: 10.1016/j.ins.2021.01.009
    [4]
    Q. Xie, T. Wang, and S. Zhu, “Simplified dynamical model and experimental verification of an underwater hydraulic soft robotic arm,” Smart Mater. Struct., vol. 31, no. 7, p. 075011, Jul. 2022. doi: 10.1088/1361-665X/ac736f
    [5]
    A. H. Khan, Z. Shao, S. Li, Q. Wang, and N. Guan, “Which is the best PID variant for pneumatic soft robots? An experimental study,” IEEE/CAA J. Autom. Sinica, vol. 7, no. 2, pp. 451–460, Mar. 2020. doi: 10.1109/JAS.2020.1003045
    [6]
    Y. Zhang, H. Liu, T. Ma, L. Hao, and Z. Li, “A comprehensive dynamic model for pneumatic artificial muscles considering different input frequencies and mechanical loads,” Mech. Syst. Signal Process., vol. 148, p. 107133, Feb. 2021. doi: 10.1016/j.ymssp.2020.107133
    [7]
    J. Wu, W. Ye, Y. Wang, and C.-Y. Su, “Modeling based on a two-step parameter identification strategy for liquid crystal elastomer actuator considering dynamic phase transition process,” IEEE Trans. Cybern., vol. 53, no. 7, pp. 4423–4434, Jul. 2023. doi: 10.1109/TCYB.2022.3179433
    [8]
    J. Sun, W. Liao, and Z. Yang, “Additive manufacturing of liquid crystal elastomer actuators based on knitting technology,” Adv. Mater., vol. 35, no. 36, p. 2302706, Sep. 2023. doi: 10.1002/adma.202302706
    [9]
    Y. Zhang, Y. Wang, J. Wu, Q. Meng, and C.-Y. Su, “Adaptive control method for conically shaped dielectric elastomer actuator with different loads,” IEEE Trans. Autom. Sci. Eng., vol. 21, no. 3, pp. 2613–2621, Jul. 2024. doi: 10.1109/TASE.2023.3265707
    [10]
    G.-Y. Gu, U. Gupta, J. Zhu, L.-M. Zhu, and X. Zhu, “Modeling of viscoelastic electromechanical behavior in a soft dielectric elastomer actuator,” IEEE Trans. Robot., vol. 33, no. 5, pp. 1263–1271, Oct. 2017. doi: 10.1109/TRO.2017.2706285
    [11]
    J. Ciambella and G. Tomassetti, “A form-finding strategy for magneto-elastic actuators,” Int. J. Nonlinear Mech., vol. 119, p. 103297, Mar. 2020. doi: 10.1016/j.ijnonlinmec.2019.103297
    [12]
    D. Kumar, V. Yadav, and S. Sarangi, “Modeling and analysis of an electro-magneto-elastic rotating cylindrical tube actuator,” J. Intell. Mater. Syst. Struct., vol. 33, no. 14, pp. 1862–1876, Aug. 2022. doi: 10.1177/1045389X211072188
    [13]
    J. Shintake, V. Cacucciolo, D. Floreano, and H. Shea, “Soft robotic grippers,” Adv. Mater., vol. 30, no. 29, p. 1707035, Jul. 2018. doi: 10.1002/adma.201707035
    [14]
    S. Shakiba, M. Ourak, E. V. Poorten, M. Ayati, and A. Yousefi-Koma, “Modeling and compensation of asymmetric rate-dependent hysteresis of a miniature pneumatic artificial muscle-based catheter,” Mech. Syst. Signal Process., vol. 154, p. 107532, Jun. 2021. doi: 10.1016/j.ymssp.2020.107532
    [15]
    X. Wang, Q. Zhang, D. Shen, and J. Chen, “A novel rescue robot: Hybrid soft and rigid structures for narrow space searching,” in Proc. IEEE Int. Conf. Robotics and Biomimetics, Dali, China, 2019, pp. 2207–2213.
    [16]
    Y. Cao and J. Huang, “Neural-network-based nonlinear model predictive tracking control of a pneumatic muscle actuator-driven exoskeleton,” IEEE/CAA J. Autom. Sinica, vol. 7, no. 6, pp. 1478–1488, Nov. 2020. doi: 10.1109/JAS.2020.1003351
    [17]
    X. Zhang, N. Sun, G. Liu, T. Yang, and Y. Fang, “Hysteresis compensation-based intelligent control for pneumatic artificial muscle-driven humanoid robot manipulators with experiments verification,” IEEE Trans. Autom. Sci. Eng., vol. 21, no. 3, pp. 2538–2551, Jul. 2024. doi: 10.1109/TASE.2023.3263535
    [18]
    H. Ru, J. Huang, W. Chen, and C. Xiong, “Modeling and identification of rate-dependent and asymmetric hysteresis of soft bending pneumatic actuator based on evolutionary firefly algorithm,” Mech. Mach. Theory, vol. 181, p. 105169, Mar. 2023. doi: 10.1016/j.mechmachtheory.2022.105169
    [19]
    S. Zhao, Z. Yan, Q. Meng, H. Xiao, X. Lai, and M. Wu, “Modified three-element modeling and robust tracking control for a planar pneumatic soft actuator,” IEEE Trans. Ind. Electron., vol. 70, no. 9, pp. 9237–9247, Sep. 2023. doi: 10.1109/TIE.2022.3206693
    [20]
    H. Xiao, J. Wu, W. Ye, and Y. Wang, “Dynamic modeling for dielectric elastomer actuators based on LSTM deep neural network,” in Proc. 5th Int. Conf. Advanced Robotics and Mechatronics, Shenzhen, China, 2020, pp. 119–124.
    [21]
    H. Ru, J. Huang, and B. Wang, “ESN-based control of bending pneumatic muscle with asymmetric and rate-dependent hysteresis,” in Proc. 4th Int. Conf. Neural Computing for Advanced Applications, Hefei, China, 2023, pp. 3–17.
    [22]
    M. A. Vasquez-Beltran, B. Jayawardhana, and R. F. Peletier, “Modeling and analysis of duhem hysteresis operators with butterfly loops,” IEEE Trans. Autom. Control, vol. 68, no. 10, pp. 5977–5990, Oct. 2023. doi: 10.1109/TAC.2023.3238177
    [23]
    M. Ismail, F. Ikhouane, and J. Rodellar, “The hysteresis bouc-wen model, a survey,” Arch. Comput. Methods Eng., vol. 16, no. 2, pp. 161–188, Jun. 2009. doi: 10.1007/s11831-009-9031-8
    [24]
    T. Kosaki and M. Sano, “Control of a parallel manipulator driven by pneumatic muscle actuators based on a hysteresis model,” J. Environ. Eng., vol. 6, no. 2, pp. 316–327, Mar. 2011. doi: 10.1299/jee.6.316
    [25]
    H. Xiao, Q. Meng, X. Lai, Y. Wang, J. She, E. F. Fukushima, and M. Wu, “Design, performance analysis and applications of pneumatic bellows actuator for building block soft robots,” Inf. Sci., vol. 676, p. 120814, Aug. 2024. doi: 10.1016/j.ins.2024.120814
    [26]
    Y. Yang, J. Han, Z. Liu, Z. Zhao, and K.-S. Hong, “Modeling and adaptive neural network control for a soft robotic arm with prescribed motion constraints,” IEEE/CAA J. Autom. Sinica, vol. 10, no. 2, pp. 501–511, Feb. 2023. doi: 10.1109/JAS.2023.123213
    [27]
    H. Ru, Y. Yang, B. Wang, and J. Huang, “Model predictive control for a bending pneumatic muscle based on an online modified generalized prandtl-ishlinskii model,” Neural Comput. Appl., vol. 36, no. 20, pp. 12371–12383, Jul. 2024. doi: 10.1007/s00521-024-09666-2
    [28]
    M. Al Saaideh and M. Al Janaideh, “On prandtl-ishlinskii hysteresis modeling of a loaded pneumatic artificial muscle,” ASME Lett. Dyn. Syst. Control, vol. 2, no. 3, p. 031008, Jul. 2022. doi: 10.1115/1.4054779
    [29]
    K. Xu, Z. Zhang, and J. Mao, “Modeling of stress dependent hysteresis nonlinearity based on fuzzy tree for GMA,” in Proc. IEEE Int. Conf. Automation and Logistics, Qingdao, China, 2008, pp. 331–335.
    [30]
    X. Zhang, Y. Tan, M. Su, and Y. Xie, “Neural networks based identification and compensation of rate-dependent hysteresis in piezoelectric actuators,” Phys. B: Condens. Matter, vol. 405, no. 12, pp. 2687–2693, Jun. 2010. doi: 10.1016/j.physb.2010.03.050
    [31]
    P.-K. Wong, Q. Xu, C.-M. Vong, and H.-C. Wong, “Rate-dependent hysteresis modeling and control of a piezostage using online support vector machine and relevance vector machine,” IEEE Trans. Ind. Electron., vol. 59, no. 4, pp. 1988–2001, Apr. 2012. doi: 10.1109/TIE.2011.2166235
    [32]
    H. Xiao, Q.-X. Meng, X.-Z. Lai, Z. Yan, S.-Y. Zhao, and M. Wu, “Design and trajectory tracking control of a novel pneumatic bellows actuator,” Nonlinear Dyn., vol. 111, no. 4, pp. 3173–3190, Feb. 2023. doi: 10.1007/s11071-022-07979-2
    [33]
    Y. Zhang, J. Wu, P. Huang, C.-Y. Su, and Y. Wang, “Inverse dynamics modelling and tracking control of conical dielectric elastomer actuator based on GRU neural network,” Eng. Appl. Artif. Intell., vol. 118, p. 105668, Feb. 2023. doi: 10.1016/j.engappai.2022.105668
    [34]
    H. Xiao, J. Wu, W. Ye, and Y. Wang, “Dynamic modeling of dielectric elastomer actuators based on thermodynamic theory,” Mech. Adv. Mater. Struct., vol. 29, no. 11, pp. 1543–1552, Nov. 2022. doi: 10.1080/15376494.2020.1829757
    [35]
    S. Xie, J. Mei, H. Liu, and Y. Wang, “Hysteresis modeling and trajectory tracking control of the pneumatic muscle actuator using modified Prandtl-Ishlinskii model,” Mech. Mach. Theory, vol. 120, pp. 213–224, Feb. 2018. doi: 10.1016/j.mechmachtheory.2017.07.016
    [36]
    D. Chicco, M. J. Warrens, and G. Jurman, “The coefficient of determination R-squared is more informative than SMAPE, MAE, MAPE, MSE and RMSE in regression analysis evaluation,” PeerJ Comput. Sci., vol. 7, no. 3, p. e623, Jul. 2021.

Catalog

    通讯作者: 陈斌, bchen63@163.com
    • 1. 

      沈阳化工大学材料科学与工程学院 沈阳 110142

    1. 本站搜索
    2. 百度学术搜索
    3. 万方数据库搜索
    4. CNKI搜索

    Figures(13)  / Tables(3)

    Article Metrics

    Article views (264) PDF downloads(17) Cited by()

    /

    DownLoad:  Full-Size Img  PowerPoint
    Return
    Return