A journal of IEEE and CAA , publishes high-quality papers in English on original theoretical/experimental research and development in all areas of automation
Volume 13 Issue 3
Mar.  2026

IEEE/CAA Journal of Automatica Sinica

  • JCR Impact Factor: 19.2, Top 1 (SCI Q1)
    CiteScore: 28.2, Top 1% (Q1)
    Google Scholar h5-index: 95, TOP 5
Turn off MathJax
Article Contents
X. Ju, X. Yang, C. Li, G. Feng, and D. Ho, “Neurodynamic optimization approaches with fixed-time convergence for Nash equilibrium seeking: Theory and hardware experiment,” IEEE/CAA J. Autom. Sinica, vol. 13, no. 3, pp. 704–714, Mar. 2026. doi: 10.1109/JAS.2025.125780
Citation: X. Ju, X. Yang, C. Li, G. Feng, and D. Ho, “Neurodynamic optimization approaches with fixed-time convergence for Nash equilibrium seeking: Theory and hardware experiment,” IEEE/CAA J. Autom. Sinica, vol. 13, no. 3, pp. 704–714, Mar. 2026. doi: 10.1109/JAS.2025.125780

Neurodynamic Optimization Approaches With Fixed-Time Convergence for Nash Equilibrium Seeking: Theory and Hardware Experiment

doi: 10.1109/JAS.2025.125780
Funds:  This work was supported in part by the National Natural Science Foundation of China (62403336, 62373262, 62373310), the Research Grants Council of Hong Kong (CityU-11208223, CityU-11213023, CityU-11205724), the China Postdoctoral Science Foundation (2023M742457), the Postdoctoral Fellowship Program (Grade B) of China Postdoctoral Science Foundation (GZB20230467), and the Foundation of Key Laboratory of System Control and Information Processing of Ministry of Education of China (Scip20240107)
More Information
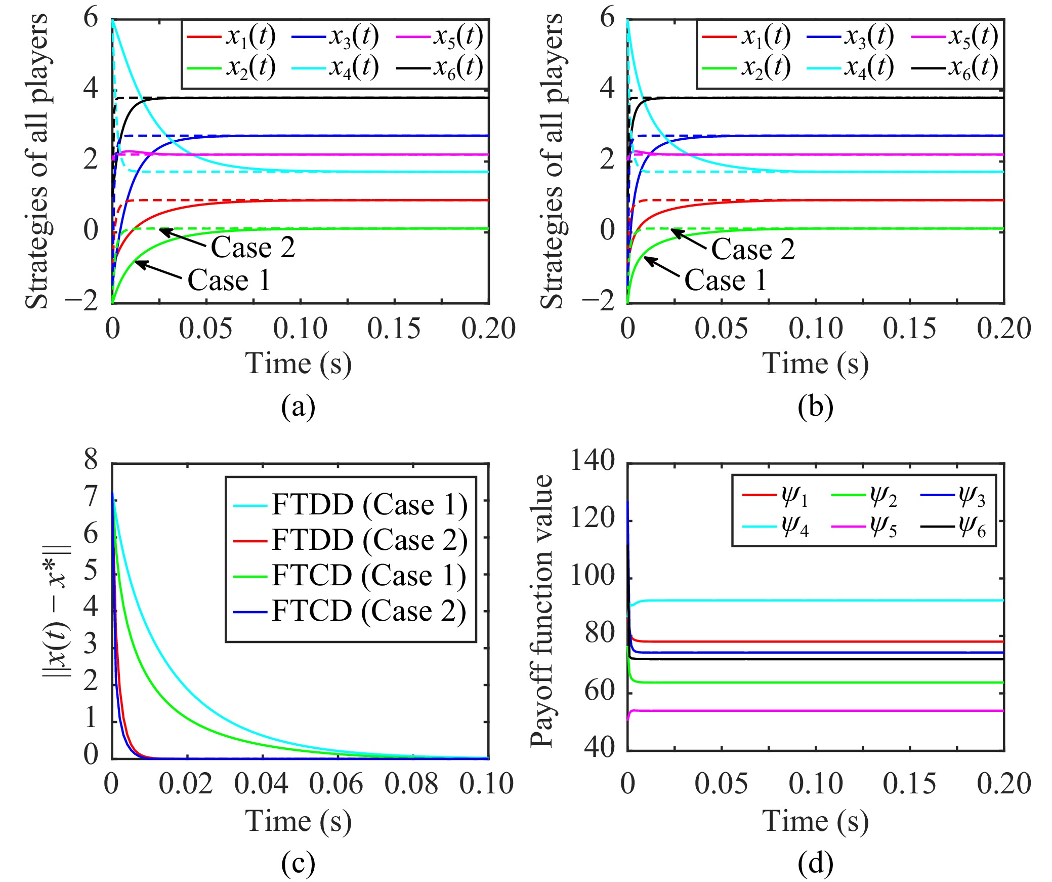
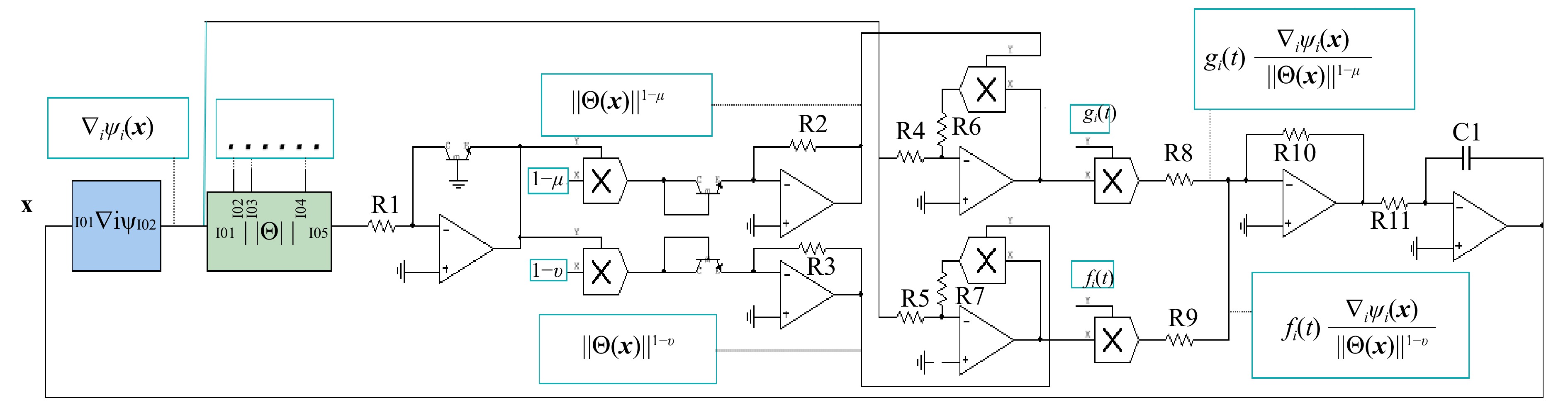
  • The convergence rate is one of the key performance measures for Nash equilibrium (NE) seeking strategies. In this work, we present several novel fast decoupled/coupled time-varying neurodynamic optimization approaches with fixed-time (FT) convergence to Nash equilibrium seeking in non-cooperative games. The dynamics trajectories are demonstrated to converge to the NE solution within a fixed time from any initial states. The proposed neurodynamic networks exhibit a faster convergence rate with appropriately selected time-varying coefficients. Additionally, the upper bounds of the convergence time of the proposed NE seeking networks are smaller than those for strategies with constant coefficients. The robustness of the proposed NE seeking neurodynamic approaches under bounded perturbations is further studied. The efficacy and practicality of the proposed NE seeking approaches are validated through simulations and field-programmable gate array (FPGA) experiments on duopoly market games.

     

  • loading
  • [1]
    M. Ye, Q.-L. Han, L. Ding, and S. Xu, “Distributed Nash equilibrium seeking in games with partial decision information: A survey,” Proc. IEEE, vol. 111, no. 2, pp. 140–157, Feb. 2023. doi: 10.1109/JPROC.2023.3234687
    [2]
    P. Yi, J. Lei, X. Li, S. Liang, M. Meng, and J. Chen, “A survey on noncooperative games and distributed Nash equilibrium seeking over multi-agent networks,” CAAI Artif. Intell. Res., vol. 1, no. 1, pp. 8–27, Sep. 2022. doi: 10.26599/AIR.2022.9150002
    [3]
    J. Shi and M. Ye, “Distributed optimal formation control for unmanned surface vessels by a regularized game-based approach,” IEEE/CAA J. Autom. Sinica, vol. 11, no. 1, pp. 276–278, Jan. 2024. doi: 10.1109/JAS.2023.123930
    [4]
    C. Qian and L. Ding, “Prescribed-time fully distributed Nash equilibrium seeking strategy in networked games,” IEEE/CAA J. Autom. Sinica, vol. 11, no. 1, pp. 261–263, Jan. 2024. doi: 10.1109/JAS.2023.123933
    [5]
    M.-F. Leung and J. Wang, “Cardinality-constrained portfolio selection based on collaborative neurodynamic optimization,” Neural Netw., vol. 145, pp. 68–79, Jan. 2022. doi: 10.1016/j.neunet.2021.10.007
    [6]
    Y. Xia, Q. Liu, J. Wang, and A. Cichocki, “A survey of neurodynamic optimization,” IEEE Trans. Emerg. Top. Comput. Intell., vol. 8, no. 4, pp. 2677–2696, Aug. 2024. doi: 10.1109/TETCI.2024.3369667
    [7]
    Q. Liu, S. Yang, and J. Wang, “A collective neurodynamic approach to distributed constrained optimization,” IEEE Trans. Neural Netw. Learn. Syst., vol. 28, no. 8, pp. 1747–1758, Aug. 2017. doi: 10.1109/TNNLS.2016.2549566
    [8]
    S. Qin, X. Le, and J. Wang, “A neurodynamic optimization approach to bilevel quadratic programming,” IEEE Trans. Neural Netw. Learn. Syst., vol. 28, no. 11, pp. 2580–2591, Nov. 2017. doi: 10.1109/TNNLS.2016.2595489
    [9]
    M.-F. Leung and J. Wang, “A collaborative neurodynamic approach to multiobjective optimization,” IEEE Trans. Neural Netw. Learn. Syst., vol. 29, no. 11, pp. 5738–5748, Nov. 2018. doi: 10.1109/TNNLS.2018.2806481
    [10]
    Y. Zhao, X. He, M. Zhou, and T. Huang, “Accelerated primal-dual projection neurodynamic approach with time scaling for linear and set constrained convex optimization problems,” IEEE/CAA J. Autom. Sinica, vol. 11, no. 6, pp. 1485–1498, Jun. 2024. doi: 10.1109/JAS.2024.124380
    [11]
    M.-F. Leung and J. Wang, “Minimax and biobjective portfolio selection based on collaborative neurodynamic optimization,” IEEE Trans. Neural Netw. Learn. Syst., vol. 32, no. 7, pp. 2825–2836, Jul. 2021. doi: 10.1109/TNNLS.2019.2957105
    [12]
    M. Wang, Y. Wu, and S. Qin, “Generalized Nash equilibrium seeking for noncooperative game with different monotonicities by adaptive neurodynamic algorithm,” IEEE Trans. Neural Netw. Learn. Syst., vol. 36, no. 4, pp. 7637–7650, Apr. 2025. doi: 10.1109/TNNLS.2024.3408241
    [13]
    Z. Xia, Y. Liu, W. Yu, and J. Wang, “A collaborative neurodynamic optimization approach to distributed Nash-equilibrium seeking in multicluster games with nonconvex functions,” IEEE Trans. Cybern., vol. 54, no. 5, pp. 3105–3119, May 2024. doi: 10.1109/TCYB.2023.3289712
    [14]
    D. Gadjov and L. Pavel, “A passivity-based approach to Nash equilibrium seeking over networks,” IEEE Trans. Autom. Control, vol. 64, no. 3, pp. 1077–1092, Mar. 2019. doi: 10.1109/TAC.2018.2833140
    [15]
    E. Cavazzuti, M. Pappalardo, and M. Passacantando, “Nash equilibria, variational inequalities, and dynamical systems,” J. Optim. Theory Appl., vol. 114, no. 3, pp. 491–506, Sep. 2002. doi: 10.1023/A:1016056327692
    [16]
    E. Mazumdar, L. J. Ratliff, and S. S. Sastry, “On gradient-based learning in continuous games,” SIAM J. Math. Data Sci., vol. 2, no. 1, pp. 103–131, Feb. 2020. doi: 10.1137/18M1231298
    [17]
    M. Ye, “Distributed Nash equilibrium seeking for games in systems with bounded control inputs,” IEEE Trans. Autom. Control, vol. 66, no. 8, pp. 3833–3839, Aug. 2021. doi: 10.1109/TAC.2020.3027795
    [18]
    B. Huang, Y. Zou, and Z. Meng, “Distributed-observer-based Nash equilibrium seeking algorithm for quadratic games with nonlinear dynamics,” IEEE Trans. Syst., Man, Cybern.: Syst., vol. 51, no. 11, pp. 7260–7268, Nov. 2021. doi: 10.1109/TSMC.2020.2968127
    [19]
    Y. Yan and T. Hayakawa, “Stability analysis of Nash equilibrium for two-agent loss-aversion-based noncooperative switched systems,” IEEE Trans. Autom. Control, vol. 67, no. 5, pp. 2505–2513, May 2022. doi: 10.1109/TAC.2021.3079276
    [20]
    M. Ye and G. Hu, “Distributed Nash equilibrium seeking by a consensus based approach,” IEEE Trans. Autom. Control, vol. 62, no. 9, pp. 4811–4818, Sep. 2017. doi: 10.1109/TAC.2017.2688452
    [21]
    D. Gadjov and L. Pavel, “On the exact convergence to Nash equilibrium in hypomonotone regimes under full and partial-decision information,” IEEE Trans. Autom. Control, vol. 68, no. 8, pp. 4539–4553, Aug. 2023. doi: 10.1109/TAC.2022.3204543
    [22]
    P. Frihauf, M. Krstic, and T. Basar, “Nash equilibrium seeking in noncooperative games,” IEEE Trans. Autom. Control, vol. 57, no. 5, pp. 1192–1207, May 2012. doi: 10.1109/TAC.2011.2173412
    [23]
    X. Fang, J. Lü, and G. Wen, “Distributed finite-time Nash equilibrium seeking for non-cooperative games,” CSIAM Trans. Appl. Math., vol. 2, no. 1, pp. 162–174, Mar. 2021. doi: 10.4208/csiam-am.2020-0028
    [24]
    M. Wang, M. Zhou, and S. Qin, “Fixed-time consensus-based distributed Nash equilibrium seeking for noncooperative game with second-order players,” Neurocomputing, vol. 555, p. 126650, Oct. 2023. doi: 10.1016/j.neucom.2023.126650
    [25]
    P. Sun, S. Li, B. Zhu, Z. Zuo, and X. Xia, “Vision-based fixed-time uncooperative aerial target tracking for UAV,” IEEE/CAA J. Autom. Sinica, vol. 10, no. 5, pp. 1322–1324, May 2023. doi: 10.1109/JAS.2023.123510
    [26]
    H. Xie, G. Zong, D. Yang, X. Zhao, and Y. Yi, “Flexible-fixed-time-performance-based adaptive asymptotic tracking control of switched nonlinear systems with input saturation,” IEEE Trans. Autom. Sci. Eng., vol. 21, no. 4, pp. 6371–6382, Oct. 2024. doi: 10.1109/TASE.2023.3324953
    [27]
    X. Yang, J. Lam, D. W. C. Ho, and Z. Feng, “Fixed-time synchronization of complex networks with impulsive effects via nonchattering control,” IEEE Trans. Autom. Control, vol. 62, no. 11, pp. 5511–5521, Nov. 2017. doi: 10.1109/TAC.2017.2691303
    [28]
    X. Ju, C. Li, H. Che, X. He, and G. Feng, “A proximal neurodynamic network with fixed-time convergence for equilibrium problems and its applications,” IEEE Trans. Neural Netw. Learn. Syst., vol. 34, no. 10, pp. 7500–7514, Oct. 2023. doi: 10.1109/TNNLS.2022.3144148
    [29]
    X. Shi, X. Xu, G. Wen, and J. Cao, “Fixed-time gradient flows for solving constrained optimization: A unified approach,” IEEE/CAA J. Autom. Sinica, vol. 11, no. 8, pp. 1849–1864, Aug. 2024. doi: 10.1109/JAS.2023.124089
    [30]
    X. Wang, W. Guang, T. Huang, and J. Kurths, “Optimized adaptive finite-time consensus control for stochastic nonlinear multiagent systems with non-affine nonlinear faults,” IEEE Trans. Autom. Sci. Eng., vol. 21, no. 4, pp. 5012–5023, Oct. 2024. doi: 10.1109/TASE.2023.3306101
    [31]
    B. Niu, Z. Shang, G. Zhang, W. Chen, H. Wang, X. Zhao, and D. Wang, “Adaptive fuzzy resilient fixed-time bipartite consensus tracking control for nonlinear MASs under sensor deception attacks,” IEEE Trans. Autom. Sci. Eng., vol. 22, pp. 2542–2551, Feb. 2025.
    [32]
    M. Sun, L. Ren, J. Liu, and C. Sun, “Fixed-time consensus-based event-triggered Nash equilibrium seeking strategy,” IEEE Trans. Circuits Syst. Ⅱ: Express. Briefs, vol. 70, no. 12, pp. 4484–4488, Dec. 2023. doi: 10.1109/TCSII.2023.3294272
    [33]
    X. Ai, “Distributed Nash equilibrium seeking for networked games of multiple high-order systems with disturbance rejection and communication delay,” Nonlinear Dyn., vol. 101, no. 2, pp. 961–976, Jul. 2020. doi: 10.1007/s11071-020-05758-5
    [34]
    Z. Li, Z. Li, and Z. Ding, “Distributed generalized Nash equilibrium seeking and its application to femtocell networks,” IEEE Trans. Cybern., vol. 52, no. 4, pp. 2505–2517, Apr. 2022. doi: 10.1109/TCYB.2020.3004635
    [35]
    J. I. Poveda, M. Krstić, and T. Başar, “Fixed-time Nash equilibrium seeking in time-varying networks,” IEEE Trans. Autom. Control, vol. 68, no. 4, pp. 1954–1969, Apr. 2023. doi: 10.1109/TAC.2022.3168527
    [36]
    J. Wu, X. He, Y. Niu, T. Huang, and J. Yu, “Circuit implementation of proximal projection neural networks for composite optimization problems,” IEEE Trans. Ind. Electron., vol. 71, no. 2, pp. 1948–1957, Feb. 2024. doi: 10.1109/TIE.2023.3260350
    [37]
    S. Vichik, M. Arcak, and F. Borrelli, “Stability of an analog optimization circuit for quadratic programming,” Syst. Control Lett., vol. 88, pp. 68–74, Feb. 2016. doi: 10.1016/j.sysconle.2015.11.006
    [38]
    J. Zhang, X. He, G. Zhao, and T. Huang, “FPGA implementation for finite-time and fixed-time neurodynamic algorithms in constrained optimization problems,” IEEE Trans. Circuits Syst. I: Reg. Pap., vol. 70, no. 9, pp. 3584–3597, Sep. 2023. doi: 10.1109/TCSI.2023.3285933
    [39]
    Z. Zhang, H. He, and X. Deng, “An FPGA-implemented antinoise fuzzy recurrent neural network for motion planning of redundant robot manipulators,” IEEE Trans. Neural Netw. Learn. Syst., vol. 35, no. 9, pp. 12 263–12 275, Sep. 2024. doi: 10.1109/TNNLS.2023.3253801
    [40]
    L. T. Nguyen, X. Yu, A. Eberhard, and C. Li, “Fixed-time gradient dynamics with time-varying coefficients for continuous-time optimization,” IEEE Trans. Autom. Control, vol. 68, no. 7, pp. 4383–4390, Jul. 2023. doi: 10.1109/tac.2022.3206251

Catalog

    通讯作者: 陈斌, bchen63@163.com
    • 1. 

      沈阳化工大学材料科学与工程学院 沈阳 110142

    1. 本站搜索
    2. 百度学术搜索
    3. 万方数据库搜索
    4. CNKI搜索

    Figures(8)  / Tables(4)

    Article Metrics

    Article views (193) PDF downloads(4) Cited by()

    /

    DownLoad:  Full-Size Img  PowerPoint
    Return
    Return