A journal of IEEE and CAA , publishes high-quality papers in English on original theoretical/experimental research and development in all areas of automation
Volume 13 Issue 2
Feb.  2026

IEEE/CAA Journal of Automatica Sinica

  • JCR Impact Factor: 19.2, Top 1 (SCI Q1)
    CiteScore: 28.2, Top 1% (Q1)
    Google Scholar h5-index: 95, TOP 5
Turn off MathJax
Article Contents
S. Lou, C. Yang, Z. Liu, H. Zhang, C. Liu, and P. Wu, “From shallow to deep: A novel correlation network representation regression framework for modeling and monitoring MIQ-driven blast furnace ironmaking processes,” IEEE/CAA J. Autom. Sinica, vol. 13, no. 2, pp. 281–299, Feb. 2026. doi: 10.1109/JAS.2025.125765
Citation: S. Lou, C. Yang, Z. Liu, H. Zhang, C. Liu, and P. Wu, “From shallow to deep: A novel correlation network representation regression framework for modeling and monitoring MIQ-driven blast furnace ironmaking processes,” IEEE/CAA J. Autom. Sinica, vol. 13, no. 2, pp. 281–299, Feb. 2026. doi: 10.1109/JAS.2025.125765

From Shallow to Deep: A Novel Correlation Network Representation Regression Framework for Modeling and Monitoring MIQ-Driven Blast Furnace Ironmaking Processes

doi: 10.1109/JAS.2025.125765
Funds:  This work was supported in part by the Pioneer Research and Development Program of Zhejiang (2025C01021), Zhejiang Province Postdoctoral Research Project Selection Fund (ZJ2025061), the National Science and Technology Major Project-Intelligent Manufacturing Systems and Robotics of China (2025ZD1602000, 2025ZD1601800), the National Natural Science Foundation of China (61933015, 62273030, 62573387), the Natural Science Foundation of Zhejiang province, China (LY24F030004), and the Fundamental Research Funds of Zhejiang Sci-Tech University (25222139-Y)
More Information
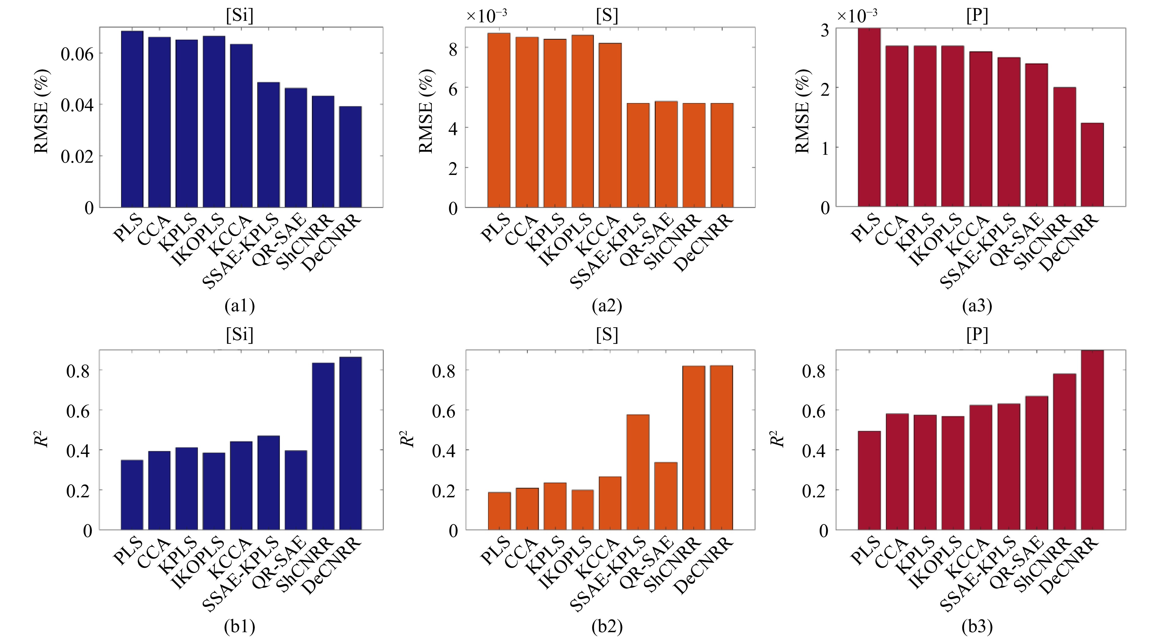
  • Ironmaking process (IP) is indispensable to modern iron and steel industry, where real-time monitoring is crucial for achieving high molten iron quality (MIQ) with low energy consumption. While neural network-based models show some promising results, they are generally limited by non-negligible drawbacks such as interpretability issues of feature learning. To address these issues, we propose a novel concept based on the shallow-to-deep correlation network representation regression (Sh-to-De CNRR). Our approach, shallow correlation network representation regression (ShCNRR), combines neural network and canonical correlation analysis thoughts to generate explainable features via shallow correlation network representation (CNR). A twin inverse network is then derived to obtain the explicit model output, leveraging the shallow CNR. To capture deeper nonlinear information, we extend ShCNRR into a hierarchical deep correlation network representation regression (DeCNRR) model that features stacked neural networks, enabling us to learn deeper CNR from process data. The feasibility and advantages of our proposals are validated by theoretical derivations and practical IP cases, which contain one MIQ regression and three MIQ-related fault detection tasks. The results reveal that highly fused statistical and neural network models yield superior monitoring performance compared to current state-of-the-art models, while statistical tests verify the convincing feature mining.1

     

  • loading
  • 1 The preliminary version of this paper was presented at the 34th China Process Control Conference (CPCC), where it was honored with the Academician Zhongjun Zhang Best Paper Award. Building on that foundation, this study significantly extends the theoretical framework and incorporates comprehensive experimental analyses to enhance the original work.
  • [1]
    J. Li, C. Hua, Y. Yang, and X. Guan, “Data-driven Bayesian-based Takagi-Sugeno fuzzy modeling for dynamic prediction of hot metal silicon content in blast furnace,” IEEE Trans. Syst. Man Cybern. Syst., vol. 52, no. 2, pp. 1087–1099, 2020.
    [2]
    Y. Zhang, P. Zhou, and G. Cui, “Multi-model based pso method for burden distribution matrix optimization with expected burden distribution output behaviors,” IEEE/CAA J. Autom. Sinica, vol. 6, no. 6, pp. 1506–1512, 2018.
    [3]
    J. Zhao, H. Zuo, Y. Wang, J. Wang, and Q. Xue, “Review of green and low-carbon ironmaking technology,” Ironmak. Steelmak., vol. 47, no. 3, pp. 296–306, 2020. doi: 10.1080/03019233.2019.1639029
    [4]
    S. Lou, C. Yang, and P. Wu, “A local dynamic broad kernel ssa for monitoring blast furnace ironmaking process,” IEEE Trans. Industr. Inform., vol. 19, no. 4, pp. 5945–5955, 2022.
    [5]
    Z. Chen, X. Wang, W. Gui, J. Zhu, C. Yang, and Z. Jiang, “A novel sensing imaging equipment under extremely dim light for blast furnace burden surface: Starlight high-temperature industrial endoscope,” IEEE/CAA J. Autom. Sinica, vol. 11, no. 4, pp. 893–906, 2024. doi: 10.1109/JAS.2023.123954
    [6]
    Z. Chen, Z. Jiang, C. Yang, W. Gui, and Y. Sun, “Dust distribution study at the blast furnace top based on kup model,” IEEE/CAA J. Autom. Sinica, vol. 8, no. 1, pp. 121–135, 2020.
    [7]
    S. Lou, C. Yang, X. Zhu, H. Zhang, and P. Wu, “Adaptive dynamic inferential analytic stationary subspace analysis: A novel method for fault detection in blast furnace ironmaking process,” Inf. Sci., vol. 642, p. 119176, 2023. doi: 10.1016/j.ins.2023.119176
    [8]
    F. Jin, J. Zhao, C. Sheng, and W. Wang, “Causality diagram-based scheduling approach for blast furnace gas system,” IEEE/CAA J. Autom. Sinica, vol. 5, no. 2, pp. 587–594, 2017.
    [9]
    Z. Yi, Z. Jiang, J. Huang, X. Chen, and W. Gui, “Optimization method of the installation direction of industrial endoscopes for increasing the imaged burden surface area in blast furnaces,” IEEE Trans. Industr. Inform., vol. 18, no. 11, pp. 7729–7740, 2022. doi: 10.1109/TII.2022.3151747
    [10]
    Z. Jiang, J. Zhu, D. Pan, H. Yu, W. Gui, and K. Zhou, “Soft sensor modeling method based on target-guided related feature learning and its application,” IEEE Trans. Instrum. Meas., vol. 71, pp. 1–14, 2022.
    [11]
    S. Lou, C. Yang, Z. Liu, S. Wang, H. Zhang, and P. Wu, “Release power of mechanism and data fusion: A hierarchical strategy for enhanced miq-related modeling and fault detection in BFIP,” IEEE/CAA J. Autom. Sinica, vol. 12, no. 5, pp. 894–912, 2025. doi: 10.1109/JAS.2024.124821
    [12]
    P. Zhou, R. Zhang, M. Liang, J. Fu, H. Wang, and T. Chai, “Fault identification for quality monitoring of molten iron in blast furnace ironmaking based on KPLS with improved contribution rate,” Control. Eng. Pract., vol. 97, p. 104354, 2020. doi: 10.1016/j.conengprac.2020.104354
    [13]
    J. Rong, P. Zhou, Z. Zhang, R. Zhang, and T. Chai, “Quality-related process monitoring of ironmaking blast furnace based on improved kernel orthogonal projection to latent structures,” Control. Eng. Pract., vol. 117, p. 104955, 2021. doi: 10.1016/j.conengprac.2021.104955
    [14]
    Y. Li, S. Zhu, C. Chen, and X. Guan, “Energy-efficient optimal sensor scheduling for state estimation over multihop sensor networks,” IEEE Trans. Cybern., vol. 53, no. 1, pp. 197–210, 2021.
    [15]
    K. Jiang, Z. Jiang, Y. Xie, D. Pan, and W. Gui, “Prediction of multiple molten iron quality indices in the blast furnace ironmaking process based on attention-wise deep transfer network,” IEEE Trans. Instrum. Meas., vol. 71, p. 2512114, 2022.
    [16]
    P. Zhou, D. Guo, and T. Chai, “Data-driven predictive control of molten iron quality in blast furnace ironmaking using multi-output LS-SVR based inverse system identification,” Neurocomputing, vol. 308, pp. 101–110, 2018. doi: 10.1016/j.neucom.2018.04.060
    [17]
    S. Lou, C. Yang, L. Kong, T. Lin, H. Zhang, P. Wu, and L. Chai, “Tks-bls: Temporal kernel stationary broad learning system for enhanced modeling, anomaly detection, and incremental learning with application to ironmaking processes,” IEEE Trans. Syst. Man Cybern. Syst., vol. 55, no. 1, pp. 645–660, 2025. doi: 10.1109/TSMC.2024.3487776
    [18]
    P. Zhou, M. Yuan, H. Wang, Z. Wang, and T.-Y. Chai, “Multivariable dynamic modeling for molten iron quality using online sequential random vector functional-link networks with self-feedback connections,” Inf. Sci., vol. 325, pp. 237–255, 2015. doi: 10.1016/j.ins.2015.07.002
    [19]
    P. Zhou, P. Zhao, Z. Ou, and T. Chai, “Stacked semi-supervised autoencoder-regularized RVFLNs for reliable prediction of molten iron quality in blast furnace,” Neural Comput. Appl., pp. 1–14, 2024.
    [20]
    J. Li, C. Hua, J. Qian, and X. Guan, “Low-rank based multi-input multi-output Takagi-Sugeno fuzzy modeling for prediction of molten iron quality in blast furnace,” Fuzzy Sets Syst., vol. 421, pp. 178–192, 2021. doi: 10.1016/j.fss.2020.08.012
    [21]
    X. Kong and Z. Ge, “Deep PLS: A lightweight deep learning model for interpretable and efficient data analytics,” IEEE Trans. Neural Netw. Learn. Syst., vol. 34, no. 11, pp. 8923–8937, 2023. doi: 10.1109/TNNLS.2022.3154090
    [22]
    K. Yao, F. Cao, Y. Leung, and J. Liang, “Deep neural network compression through interpretability-based filter pruning,” Pattern Recognit., vol. 119, p. 108056, 2021. doi: 10.1016/j.patcog.2021.108056
    [23]
    J. Yu and G. Liu, “Extracting and inserting knowledge into stacked denoising auto-encoders,” Neural Netw., vol. 137, pp. 31–42, 2021. doi: 10.1016/j.neunet.2021.01.010
    [24]
    Q. Jiang, J. Jiang, W. Zhong, and X. Yan, “Optimized Gaussian-process-based probabilistic latent variable modeling framework for distributed nonlinear process monitoring,” IEEE Trans. Syst. Man Cybern. Syst., vol. 53, no. 5, pp. 3187–3198, 2022.
    [25]
    M. Wang, D. Zhou, and M. Chen, “Anomaly monitoring of nonstationary processes with continuous and two-valued variables,” IEEE Trans. Syst. Man Cybern. Syst., vol. 53, no. 1, pp. 49–58, 2023. doi: 10.1109/TSMC.2022.3167838
    [26]
    W. Li, H. Lan, J. Chen, K. Feng, and R. Huang, “Wavcapsnet: An interpretable intelligent compound fault diagnosis method by backward tracking,” IEEE Trans. Instrum. Meas., vol. 72, pp. 1–11, 2023.
    [27]
    D. Li, J. Chen, R. Huang, Z. Chen, and W. Li, “Sensor-aware CapsNet: Towards trustworthy multisensory fusion for remaining useful life prediction,” J. Manuf. Syst., vol. 72, pp. 26–37, 2024. doi: 10.1016/j.jmsy.2023.11.009
    [28]
    X. Yuan, N. Xu, L. Ye, K. Wang, F. Shen, Y. Wang, C. Yang, and W. Gui, “Attention-based interval aided networks for data modeling of heterogeneous sampling sequences with missing values in process industry,” IEEE Trans. Industr. Inform., vol. 20, no. 4, pp. 5253–5262, 2024. doi: 10.1109/TII.2023.3329684
    [29]
    X. Yuan, L. Huang, L. Li, K. Wang, Y. Wang, L. Ye, and F. Shen, “Multiscale dynamic feature learning for quality prediction based on hierarchical sequential generative network,” IEEE Sens. J., vol. 23, no. 17, pp. 19561–19570, 2023. doi: 10.1109/JSEN.2023.3290163
    [30]
    C. Ou, H. Zhu, Y. A. W. Shardt, L. Ye, X. Yuan, Y. Wang, and C. Yang, “Quality-driven regularization for deep learning networks and its application to industrial soft sensors,” IEEE Trans. Neural Netw. Learn. Syst., pp. 1–11, 2024.
    [31]
    W. Shao, Z. Ge, and Z. Song, “Semisupervised Bayesian Gaussian mixture models for non-Gaussian soft sensor,” IEEE Trans. Cybern., vol. 51, no. 7, pp. 3455–3468, 2019.
    [32]
    J. Zhou, S. Zhang, and J. Wang, “A dual robustness projection to latent structure method and its application,” IEEE Trans. Ind. Electron., vol. 68, no. 2, pp. 1604–1614, 2020.
    [33]
    H. Chen, Z. Chen, Z. Chai, B. Jiang, and B. Huang, “A single-side neural network-aided canonical correlation analysis with applications to fault diagnosis,” IEEE Trans. Cybern., vol. 52, no. 9, pp. 9454–9466, 2021.
    [34]
    X. Wang, T. Hu, and L. Tang, “A multiobjective evolutionary nonlinear ensemble learning with evolutionary feature selection for silicon prediction in blast furnace,” IEEE Trans. Neural Netw. Learn. Syst., vol. 33, no. 5, pp. 2080–2093, 2022. doi: 10.1109/TNNLS.2021.3059784
    [35]
    W. Li, H. H. Yue, S. Valle-Cervantes, and S. J. Qin, “Recursive PCA for adaptive process monitoring,” J. Process Control, vol. 10, no. 5, pp. 471–486, 2000. doi: 10.1016/S0959-1524(00)00022-6
    [36]
    X. Deng, X. Tian, S. Chen, and C. J. Harris, “Nonlinear process fault diagnosis based on serial principal component analysis,” IEEE Trans. Neural Netw. Learn. Syst., vol. 29, no. 3, pp. 560–572, 2016.
    [37]
    D. Wu, D. Zhou, and M. Chen, “Performance-driven component selection in the framework of PCA for process monitoring: A dynamic selection approach,” IEEE Trans. Control Syst. Technol., vol. 30, no. 3, pp. 1171–1185, 2021.
    [38]
    G. Li, S. J. Qin, and D. Zhou, “Geometric properties of partial least squares for process monitoring,” Automatica, vol. 46, no. 1, pp. 204–210, 2010. doi: 10.1016/j.automatica.2009.10.030
    [39]
    Y. Yao and F. Gao, “Subspace identification for two-dimensional dynamic batch process statistical monitoring,” Chem. Eng. Sci., vol. 63, no. 13, pp. 3411–3418, 2008. doi: 10.1016/j.ces.2008.04.007
    [40]
    Z. Chen, C. Liu, S. X. Ding, T. Peng, C. Yang, W. Gui, and Y. A. Shardt, “A just-in-time-learning-aided canonical correlation analysis method for multimode process monitoring and fault detection,” IEEE Trans. Ind. Electron., vol. 68, no. 6, pp. 5259–5270, 2020.
    [41]
    J. Yu, L. Ye, L. Zhou, Z. Yang, F. Shen, and Z. Song, “Dynamic process monitoring based on variational Bayesian canonical variate analysis,” IEEE Trans. Syst. Man Cybern. Syst., vol. 52, no. 4, pp. 2412–2422, 2022. doi: 10.1109/TSMC.2021.3051054
    [42]
    Z. Ye, P. Wu, Y. He, and H. Pan, “SSAE-KPLS: A quality-related process monitoring via integrating stacked sparse autoencoder with kernel partial least squares,” Can. J. Chem. Eng., vol. 101, no. 10, p. 5858, 2023.
    [43]
    Q. Zhu and S. J. Qin, “Supervised diagnosis of quality and process faults with canonical correlation analysis,” Ind. Eng. Chem. Res., vol. 58, no. 26, pp. 11213–11223, 2019. doi: 10.1021/acs.iecr.9b00320
    [44]
    Q. Chen and Y. Wang, “Key-performance-indicator-related state monitoring based on kernel canonical correlation analysis,” Control. Eng. Pract., vol. 107, p. 104692, 2021. doi: 10.1016/j.conengprac.2020.104692
    [45]
    Y. Liu, B. Liu, X. Zhao, and M. Xie, “A mixture of variational canonical correlation analysis for nonlinear and quality-relevant process monitoring,” IEEE Trans. Ind. Electron., vol. 65, no. 8, pp. 6478–6486, 2017.
    [46]
    Q. Zhu, Q. Liu, and S. J. Qin, “Concurrent quality and process monitoring with canonical correlation analysis,” J. Process Control, vol. 60, pp. 95–103, 2017. doi: 10.1016/j.jprocont.2017.06.017
    [47]
    Z. Chen, K. Liang, S. X. Ding, C. Yang, T. Peng, and X. Yuan, “A comparative study of deep neural network-aided canonical correlation analysis-based process monitoring and fault detection methods,” IEEE Trans. Neural Netw. Learn. Syst., vol. 33, no. 11, pp. 6158–6172, 2021.
    [48]
    Q. Jiang, F. Gao, H. Yi, and X. Yan, “Multivariate statistical monitoring of key operation units of batch processes based on time-slice CCA,” IEEE Trans. Control Syst. Technol., vol. 27, no. 3, pp. 1368–1375, 2018.
    [49]
    W. Wang, R. Arora, K. Livescu, and J. A. Bilmes, “Unsupervised learning of acoustic features via deep canonical correlation analysis,” in IEEE Int. Conf. Acoustics, Speech and Signal Processing (ICASSP). IEEE, 2015, pp. 4590–4594.
    [50]
    P. Wu, S. Lou, X. Zhang, J. He, Y. Liu, and J. Gao, “Data-driven fault diagnosis using deep canonical variate analysis and Fisher discriminant analysis,” IEEE Trans. Industr. Inform., vol. 17, no. 5, pp. 3324–3334, 2020.
    [51]
    K. E. S. Pilario and Y. Cao, “Canonical variate dissimilarity analysis for process incipient fault detection,” IEEE Trans. Industr. Inform., vol. 14, no. 12, pp. 5308–5315, 2018. doi: 10.1109/TII.2018.2810822
    [52]
    S. Lou, P. Wu, C. Yang, and Y. Xu, “Structured fault information-aided canonical variate analysis model for dynamic process monitoring,” J. Process Control, vol. 124, pp. 54–69, 2023. doi: 10.1016/j.jprocont.2023.01.011
    [53]
    X. Zhu, C. Yang, S. Lou, and Y. Yang, “Knowledge-based temporal GCN: A spatial-temporal fault diagnosis method for blast furnace ironmaking process with imbalanced data,” IEEE Trans. Instrum. Meas., vol. 74, p. 3504412, 2025.
    [54]
    Z. Chen, Y. Cao, S. X. Ding, K. Zhang, T. Koenings, T. Peng, C. Yang, and W. Gui, “A distributed canonical correlation analysis-based fault detection method for plant-wide process monitoring,” IEEE Trans. Industr. Inform., vol. 15, no. 5, pp. 2710–2720, 2019. doi: 10.1109/TII.2019.2893125
    [55]
    L. Myers and M. J. Sirois, “Spearman correlation coefficients, differences between,” Encyclopedia of Statistical Sciences, vol. 12, pp. 1–2, 2004.
    [56]
    W. Bergsma and A. Dassios, “A consistent test of independence based on a sign covariance related to Kendall’s tau,” Bernoulli, vol. 20, no. 2, pp. 1006–1028, 2014.

Catalog

    通讯作者: 陈斌, bchen63@163.com
    • 1. 

      沈阳化工大学材料科学与工程学院 沈阳 110142

    1. 本站搜索
    2. 百度学术搜索
    3. 万方数据库搜索
    4. CNKI搜索

    Figures(9)  / Tables(10)

    Article Metrics

    Article views (211) PDF downloads(6) Cited by()

    /

    DownLoad:  Full-Size Img  PowerPoint
    Return
    Return