A journal of IEEE and CAA , publishes high-quality papers in English on original theoretical/experimental research and development in all areas of automation
Volume 12 Issue 12
Dec.  2025

IEEE/CAA Journal of Automatica Sinica

  • JCR Impact Factor: 19.2, Top 1 (SCI Q1)
    CiteScore: 28.2, Top 1% (Q1)
    Google Scholar h5-index: 95, TOP 5
Turn off MathJax
Article Contents
J. Zhang, J. Cheng, H. Zhang, and Y. Huang, “RBP-OP: Distributed robust belief propagation method with odometry preintegration for multirobot collaborative localization,” IEEE/CAA J. Autom. Sinica, vol. 12, no. 12, pp. 2427–2454, Dec. 2025. doi: 10.1109/JAS.2025.125711
Citation: J. Zhang, J. Cheng, H. Zhang, and Y. Huang, “RBP-OP: Distributed robust belief propagation method with odometry preintegration for multirobot collaborative localization,” IEEE/CAA J. Autom. Sinica, vol. 12, no. 12, pp. 2427–2454, Dec. 2025. doi: 10.1109/JAS.2025.125711

RBP-OP: Distributed Robust Belief Propagation Method With Odometry Preintegration for Multirobot Collaborative Localization

doi: 10.1109/JAS.2025.125711
Funds:  This work was supported in part by the National Natural Science Foundation of China (U24B20184, 62373118), the National Key Research and Development Program of China (2023YFB3906403), and the Harbin Engineering University (HEU) College of Intelligent Systems Science and Engineering (CISSE) Decanal Innovation Fund for Ph.D. Students
More Information
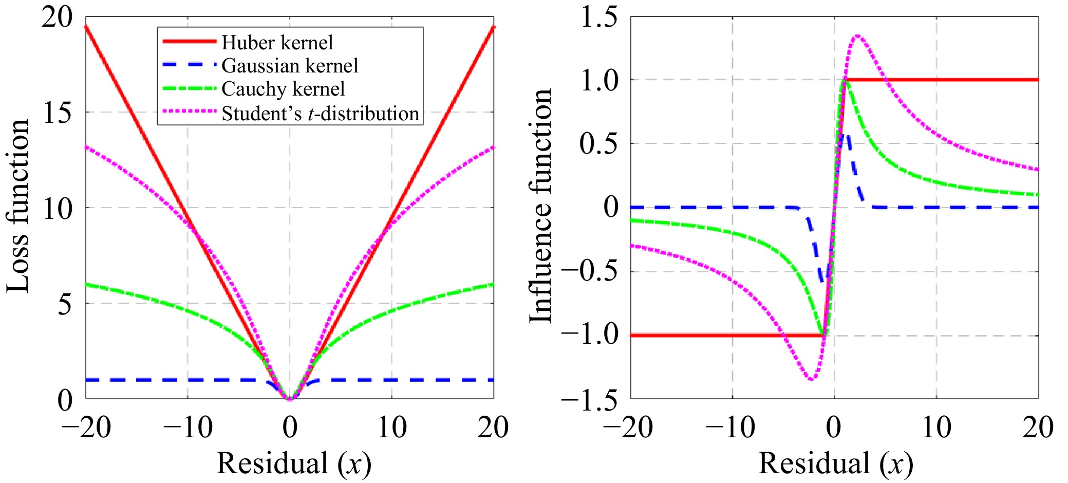
  • Distributed cooperative localization is essential to operate successfully for multirobot systems, especially in scenarios where absolute information cannot be continuously obtained. With the properties of distributed processing and message passing, Gaussian belief propagation has proven to be effective for achieving accurate pose estimation, making it a promising method for future distributed cooperative localization. Unfortunately, existing Gaussian belief propagation-based distributed cooperative localization methods are sensitive to measurement outliers and measurement nonlinearity, leading to poor performance in such environments. To address these issues, a novel distributed robust belief propagation method with odometry preintegration (RBP-OP) is proposed to mitigate the effects of measurement outliers and measurement nonlinearity. Firstly, the belief of variable node is modeled as the Gaussian distribution and the probability density function of external measurement factor node is modeled as the Student’s t-distribution. The message between external measurement factor node and variable node is computed by modifying the measurement noise covariance matrix adaptively, which significantly reduces the impact of outliers. Secondly, a novel wheel-speed odometry factor is derived based on the preintegration method, which enables forward-backward iteration, and then mitigates the effects of measurement nonlinearity. Finally, extensive simulations and experiments show that the proposed RBP-OP method offers superior filtering robustness and estimation accuracy compared to the existing state-of-the-art methods.

     

  • loading
  • Jianqiang Zhang and Jiajun Cheng contributed equally to this work.
  • [1]
    S. Feng, L. Zeng, J. Liu, Y. Yang, and W. Song, “Multi-UAVs collaborative path planning in the cramped environment,” IEEE/CAA J. Autom. Sinica, vol. 11, no. 2, pp. 529–538, Feb. 2024. doi: 10.1109/JAS.2023.123945
    [2]
    S. Wang, L. Chen, D. Gu, and H. Hu, “Cooperative localization of AUVs using moving horizon estimation,” IEEE/CAA J. Autom. Sinica, vol. 1, no. 1, pp. 68–76, Jan. 2014. doi: 10.1109/JAS.2014.7004622
    [3]
    M. Z. Win, F. Meyer, Z. Liu, W. Dai, S. Bartoletti, and A. Conti, “Efficient multisensor localization for the internet of things: Exploring a new class of scalable localization algorithms,” IEEE Signal Process. Mag., vol. 35, no. 5, pp. 153–167, Sept. 2018. doi: 10.1109/MSP.2018.2845907
    [4]
    S. Si, Y. Huang, Y. Nie, L. Xiao, B. Dai, and Y. Zhang, “ROSE: Covisibility region aware 3D-LiDAR SLAM based on generative road surface model and long-term association,” IEEE Trans. Aerosp. Electron. Syst., vol. 60, no. 6, pp. 7785–7803, Dec. 2024. doi: 10.1109/TAES.2024.3421173
    [5]
    S. Si, Y. Huang, Y. Nie, L. Xiao, D. Zhao, B. Dai, and Y. Zhang, “TOM-odometry: A generalized localization framework based on topological map and odometry,” IEEE Trans. Aerosp. Electron. Syst., vol. 59, no. 3, pp. 2713–2732, Jun. 2023. doi: 10.1109/TAES.2022.3219802
    [6]
    Y. Huang, C. Xue, F. Zhu, W. Wang, Y. Zhang, and J. A. Chambers, “Adaptive recursive decentralized cooperative localization for multirobot systems with time-varying measurement accuracy,” IEEE Trans. Instrum. Meas., vol. 70, p. 8501525, 2021.
    [7]
    H. Lee, H. K. Kim, S. H. Oh, and S. H. Lee, “Machine learning-aided cooperative localization under a dense urban environment: Demonstrates universal feasibility,” IEEE Veh. Technol. Mag., vol. 19, no. 3, pp. 78–89, Sept. 2024. doi: 10.1109/MVT.2024.3387648
    [8]
    D. Wang, H. Qi, B. Lian, Y. Liu, and H. Song, “Resilient decentralized cooperative localization for multisource multirobot system,” IEEE Trans. Instrum. Meas., vol. 72, p. 8504713, 2023.
    [9]
    S. I. Roumeliotis and G. A. Bekey, “Distributed multirobot localization,” IEEE Trans. Rob. Autom., vol. 18, no. 5, pp. 781–795, Oct. 2002. doi: 10.1109/TRA.2002.803461
    [10]
    A. Prorok, A. Bahr, and A. Martinoli, “Low-cost collaborative localization for large-scale multi-robot systems,” in Proc. IEEE Int. Conf. Robotics and Autom., Saint Paul, USA, 2012, pp. 4236−4241.
    [11]
    N. Bargshady, K. Pahlavan, and N. A. Alsindi, “Hybrid WiFi/UWB, cooperative localization using particle filter,” in Proc. Int. Conf. Computing, Networking and Communications, Garden Grove, USA, 2015, pp. 1055−1060.
    [12]
    A. Howard, M. J. Matarić, and G. S. Sukhatme, “Localization for mobile robot teams: A distributed MLE approach,” in Experimental Robotics VIII, B. Siciliano and P. Dario, Eds. Berlin, Heidelberg, German: Springer, 2003, pp. 146−155.
    [13]
    L. Paull, M. Seto, and J. J. Leonard, “Decentralized cooperative trajectory estimation for autonomous underwater vehicles,” in Proc. IEEE/RSJ Int. Conf. Intelligent Robots and Systems, Chicago, USA, 2014, pp. 184−191.
    [14]
    S. S. Kia, S. F. Rounds, and S. Martinez, “A centralized-equivalent decentralized implementation of extended Kalman filters for cooperative localization,” in Proc. IEEE/RSJ Int. Conf. Intelligent Robots and Systems, Chicago, USA, 2014, pp. 3761−3766.
    [15]
    S. S. Kia, J. Hechtbauer, D. Gogokhiya, and S. Martínez, “Server-assisted distributed cooperative localization over unreliable communication links,” IEEE Trans. Robot., vol. 34, no. 5, pp. 1392–1399, Oct. 2018. doi: 10.1109/TRO.2018.2830411
    [16]
    L. Luft, T. Schubert, S. I. Roumeliotis, and W. Burgard, “Recursive decentralized localization for multi-robot systems with asynchronous pairwise communication,” Int. J. Rob. Res., vol. 37, no. 10, pp. 1152–1167, Sept. 2018. doi: 10.1177/0278364918760698
    [17]
    J. Yan, F. Zhu, Y. Huang, and Y. Zhang, “Robust decentralized cooperative localization for multirobot system against measurement outliers,” IEEE Internet Things J., vol. 11, no. 10, pp. 17934–17947, May. 2024. doi: 10.1109/JIOT.2024.3360983
    [18]
    A. J. Davison and J. Ortiz, “FutureMapping 2: Gaussian belief propagation for spatial AI,” arXiv preprint arXiv: 1910.14139, 2019.
    [19]
    R. Murai, J. Ortiz, S. Saeedi, P. H. J. Kelly, and A. J. Davison, “A robot web for distributed many-device localization,” IEEE Trans. Robot., vol. 40, pp. 121–138, Jan. 2024. doi: 10.1109/TRO.2023.3324127
    [20]
    J. Ortiz, T. Evans, and A. J. Davison, “A visual introduction to Gaussian belief propagation,” arXiv preprint arXiv: 2107.02308, 2021.
    [21]
    J. Xiong, Z. Xiong, Y. Zhuang, J. W. Cheong, and A. G. Dempster, “Fault-tolerant cooperative positioning based on hybrid robust Gaussian belief propagation,” IEEE Trans. Intell. Transp. Syst., vol. 24, no. 6, pp. 6425–6431, Jun. 2023. doi: 10.1109/TITS.2023.3249251
    [22]
    J. Xiong, Z. Xiong, X. Xie, Y. Zhuang, Y. Zheng, S. Xiong, J. W. Cheong, and A. G. Dempster, “Integrity for belief propagation-based cooperative positioning,” IEEE Trans. Intell. Transp. Syst., vol. 25, no. 9, pp. 11345–11358, Sept. 2024. doi: 10.1109/TITS.2024.3361678
    [23]
    Y. Li, Y. Wang, W. Yu, and X. Guan, “Multiple autonomous underwater vehicle cooperative localization in anchor-free environments,” IEEE J. Oceanic Eng., vol. 44, no. 4, pp. 895–911, Oct. 2019. doi: 10.1109/JOE.2019.2935516
    [24]
    Y. Li, W. Yu, and X. Guan, “Hybrid TOA-AOA cooperative localization for multiple AUVs in the absence of anchors,” IEEE Trans. Industr. Inform., vol. 20, no. 2, pp. 2420–2431, Feb. 2024. doi: 10.1109/TII.2023.3266362
    [25]
    Y. Li, W. Yu, and X. Guan, “Current-aided multiple-AUV cooperative localization and target tracking in anchor-free environments,” IEEE/CAA J. Autom. Sinica, vol. 10, no. 3, pp. 792–806, Mar. 2023. doi: 10.1109/JAS.2022.105989
    [26]
    J. Schiff, E. B. Sudderth, and K. Goldberg, “Nonparametric belief propagation for distributed tracking of robot networks with noisy inter-distance measurements,” in Proc. IEEE/RSJ Int. Conf. Intelligent Robots and Systems, St. Louis, USA, 2009, pp. 1369−1376.
    [27]
    P.-Y. Lajoie, B. Ramtoula, F. Wu, and G. Beltrame, “Towards collaborative simultaneous localization and mapping: A survey of the current research landscape,” Field Robot., vol. 2, pp. 971−1000, 2022.
    [28]
    P. Zhu, P. Geneva, W. Ren, and G. Huang, “Distributed visual-inertial cooperative localization,” in Proc. IEEE/RSJ Int. Conf. Intelligent Robots and Systems, Prague, Czech Republic, 2021, pp. 8714−8721.
    [29]
    R. He, Y. Shan, and K. Huang, “Robust cooperative localization with failed communication and biased measurements,” IEEE Robot. Autom. Lett., vol. 9, no. 3, pp. 2997–3004, Mar. 2024. doi: 10.1109/LRA.2024.3362682
    [30]
    Y. Zhao, W. Xing, H. Yuan, and P. Shi, “A collaborative control framework with multi-leaders for AUVs based on unscented particle filter,” J. Franklin Inst., vol. 353, no. 3, pp. 657–669, Feb. 2016. doi: 10.1016/j.jfranklin.2015.11.016
    [31]
    T.-K. Chang, K. Chen, and A. Mehta, “Resilient and consistent multirobot cooperative localization with covariance intersection,” IEEE Trans. Robot., vol. 38, no. 1, pp. 197–208, Feb. 2022. doi: 10.1109/TRO.2021.3104965
    [32]
    F. Zhu, Y. Huang, C. Xue, L. Mihaylova, and J. Chambers, “A sliding window variational outlier-robust Kalman filter based on Student’s t-noise modeling,” IEEE Trans. Aerosp. Electron. Syst., vol. 58, no. 5, pp. 4835–4849, Oct. 2022. doi: 10.1109/TAES.2022.3164012
    [33]
    H. A. P. Blom and Y. Bar-Shalom, “The interacting multiple model algorithm for systems with Markovian switching coefficients,” IEEE Trans. Autom. Contr., vol. 33, no. 8, pp. 780–783, Aug. 1988. doi: 10.1109/9.1299
    [34]
    Y. Huang, Y. Zhang, Y. Zhao, P. Shi, and J. A. Chambers, “A novel outlier-robust Kalman filtering framework based on statistical similarity measure,” IEEE Trans. Autom. Contr., vol. 66, no. 6, pp. 2677–2692, Jun. 2021. doi: 10.1109/TAC.2020.3011443
    [35]
    B. Chen, X. Liu, H. Zhao, and J. C. Principe, “Maximum correntropy Kalman filter,” Automatica, vol. 76, pp. 70–77, Feb. 2017. doi: 10.1016/j.automatica.2016.10.004
    [36]
    B. Shen, X. Wang, and L. Zou, “Maximum correntropy Kalman filtering for non-Gaussian systems with state saturations and stochastic nonlinearities,” IEEE/CAA J. Autom. Sinica, vol. 10, no. 5, pp. 1223–1233, May. 2023. doi: 10.1109/JAS.2023.123195
    [37]
    M. V. Kulikova, “Chandrasekhar-based maximum correntropy Kalman filtering with the adaptive kernel size selection,” IEEE Trans. Autom. Contr., vol. 65, no. 2, pp. 741–748, Feb. 2020. doi: 10.1109/TAC.2019.2919341
    [38]
    M. Bai, C. Sun, and Y. Zhang, “A robust generalized t distribution-based Kalman filter,” IEEE Trans. Aerosp. Electron. Syst., vol. 58, no. 5, pp. 4771–4781, Oct. 2022. doi: 10.1109/TAES.2022.3160984
    [39]
    G. Revach, N. Shlezinger, X. Ni, A. L. Escoriza, R. J. G. van Sloun, and Y. C. Eldar, “KalmanNet: Neural network aided Kalman filtering for partially known dynamics,” IEEE Trans. Signal Process., vol. 70, pp. 1532−1547, 2022.
    [40]
    G. Choi, J. Park, N. Shlezinger, Y. C. Eldar, and N. Lee, “Split-KalmanNet: A robust model-based deep learning approach for state estimation,” IEEE Trans. Veh. Technol., vol. 72, no. 9, pp. 12326–12331, Sept. 2023. doi: 10.1109/TVT.2023.3270353
    [41]
    Y. Yuan, Y. Wang, and X. Luo, “A node-collaboration-informed graph convolutional network for highly accurate representation to undirected weighted graph,” IEEE Trans. Neural Netw. Learn. Syst., vol. 36, no. 6, pp. 11507–11519, Jun. 2025. doi: 10.1109/TNNLS.2024.3514652
    [42]
    J. Chen, Y. Yuan, and X. Luo, “SDGNN: Symmetry-preserving dual-stream graph neural networks,” IEEE/CAA J. Autom. Sinica, vol. 11, no. 7, pp. 1717–1719, Jul. 2024. doi: 10.1109/JAS.2024.124410
    [43]
    L. Wang, K. Liu, and Y. Yuan, “GT-A2T: Graph tensor alliance attention network,” IEEE/CAA J. Autom. Sinica, vol 12, no. 10, pp. 2165−2167, Oct. 2025.
    [44]
    S. Cheng, C. Quilodrán-Casas, S. Ouala, A. Farchi, C. Liu, P. Tandeo, R. Fablet, D. Lucor, B. Iooss, J. Brajard, D. Xiao, T. Janjic, W. Ding, Y. Guo, A. Carrassi, M. Bocquet, and R. Arcucci, “Machine learning with data assimilation and uncertainty quantification for dynamical systems: A review,” IEEE/CAA J. Autom. Sinica, vol. 10, no. 6, pp. 1361–1387, Jun. 2023. doi: 10.1109/JAS.2023.123537
    [45]
    Q. Yu, Y. Wang, and Y. Shen, “Robust distributed cooperative localization in wireless sensor networks with a mismatched measurement model,” IEEE Trans. Signal Process., vol. 72, pp. 4525−4540, 2024.
    [46]
    G. Wang, C. Yang, and X. Ma, “A novel robust nonlinear Kalman filter Based on multivariate Laplace distribution,” IEEE Trans. Circuits Syst. II: Express Briefs, vol. 68, no. 7, pp. 2705–2709, Jul. 2021.
    [47]
    M. Bai, Y. Huang, B. Chen, and Y. Zhang, “A novel robust Kalman filtering framework based on normal-skew mixture distribution,” IEEE Trans. Syst., Man, Cybern.: Syst., vol. 52, no. 11, pp. 6789–6805, Nov. 2022. doi: 10.1109/TSMC.2021.3098299
    [48]
    Y. Huang, Y. Zhang, N. Li, Z. Wu, and J. A. Chambers, “A novel robust student’s t-based Kalman filter,” IEEE Trans. Aerosp. Electron. Syst., vol. 53, no. 3, pp. 1545–1554, Jun. 2017. doi: 10.1109/TAES.2017.2651684
    [49]
    K. Wang, P. Wu, X. Li, S. He, and J. Li, “An adaptive outlier-robust Kalman filter based on sliding window and Pearson type VII distribution modeling,” Signal Process., vol. 216, p. 109306, Mar. 2024. doi: 10.1016/j.sigpro.2023.109306
    [50]
    S. Liang and X. Zhang, “A robust Kalman filter based on the Pearson type VII-Inverse Wishart distribution: Symmetrical treatment of time-varying measurement bias and heavy-tailed noise,” Symmetry, vol. 17, p. 1, Jan. 2025.
    [51]
    S. Bai, J. Lai, P. Lyu, Y. Cen, B. Wang, and X. Sun, “Graph-optimisation-based self-calibration method for IMU/odometer using preintegration theory,” J. Navig., vol. 75, no. 3, pp. 594–613, May. 2022. doi: 10.1017/S0373463321000722
    [52]
    Y. He, Y. Guo, A. Ye, and K. Yuan, “Camera-odometer calibration and fusion using graph based optimization,” in Proc. IEEE Int. Conf. Robotics and Biomimetics, Macau, China, 2017, pp. 1624−1629.
    [53]
    E. R. Potokar, D. McGann, and M. Kaess, “Robust preintegrated wheel odometry for off-Road autonomous ground vehicles,” IEEE Robot. Autom. Lett., vol. 9, no. 12, pp. 11649–11656, Dec. 2024. doi: 10.1109/LRA.2024.3496334
    [54]
    J. Xiong, X. Xie, Z. Xiong, Y. Zhuang, Y. Zheng, and C. Wang, “Adaptive message passing for cooperative positioning under unknown non-Gaussian noises,” IEEE Trans. Instrum. Meas., vol. 73, p. 8502114, 2024.
    [55]
    C. Xue, Y. Huang, C. Zhao, X. Li, L. Mihaylova, Y. Li, and J. A. Chambers, “A Gaussian-generalized-inverse-Gaussian joint-distribution-based adaptive MSCKF for visual-inertial odometry navigation,” IEEE Trans. Aerosp. Electron. Syst., vol. 59, no. 3, pp. 2307–2328, Jun. 2023. doi: 10.1109/TAES.2022.3213787
    [56]
    K. Y. Leung, Y. Halpern, T. D. Barfoot, and H. H. Liu, “The UTIAS multi-robot cooperative localization and mapping dataset,” Int. J. Rob. Res., vol. 30, no. 8, pp. 969–974, Jul. 2011. doi: 10.1177/0278364911398404
    [57]
    N. Trawny and S. I. Roumeliotis, “Indirect Kalman filter for 3D attitude estimation,” University of Minnesota, Minneapolis, USA, Tech. Rep. 2005−002, 2005.
    [58]
    J. Demšar, “Statistical comparisons of classifiers over multiple data sets,” J. Mach. Learn. Res., vol. 7, pp. 1–30, Dec. 2006.
    [59]
    J. H. Zar, “Spearman rank correlation,” in Encyclopedia of Biostatistics, Hoboken, NJ: John & Sons., 2005.
    [60]
    A. I. Mourikis and S. I. Roumeliotis, “Performance analysis of multirobot Cooperative localization,” IEEE Trans. Robot., vol. 22, no. 4, pp. 666–681, Aug. 2006. doi: 10.1109/TRO.2006.878957

Catalog

    通讯作者: 陈斌, bchen63@163.com
    • 1. 

      沈阳化工大学材料科学与工程学院 沈阳 110142

    1. 本站搜索
    2. 百度学术搜索
    3. 万方数据库搜索
    4. CNKI搜索

    Figures(22)  / Tables(7)

    Article Metrics

    Article views (44) PDF downloads(17) Cited by()

    /

    DownLoad:  Full-Size Img  PowerPoint
    Return
    Return