A journal of IEEE and CAA , publishes high-quality papers in English on original theoretical/experimental research and development in all areas of automation
Volume 13 Issue 2
Feb.  2026

IEEE/CAA Journal of Automatica Sinica

  • JCR Impact Factor: 19.2, Top 1 (SCI Q1)
    CiteScore: 28.2, Top 1% (Q1)
    Google Scholar h5-index: 95, TOP 5
Turn off MathJax
Article Contents
Y. Wang, T. Zhao, M. Cui, J. Gao, L. Liang, and J. Guo, “Representation then augmentation: Wide graph clustering network with multi-order filter fusion and double-level contrastive learning,” IEEE/CAA J. Autom. Sinica, vol. 13, no. 2, pp. 421–435, Feb. 2026. doi: 10.1109/JAS.2025.125564
Citation: Y. Wang, T. Zhao, M. Cui, J. Gao, L. Liang, and J. Guo, “Representation then augmentation: Wide graph clustering network with multi-order filter fusion and double-level contrastive learning,” IEEE/CAA J. Autom. Sinica, vol. 13, no. 2, pp. 421–435, Feb. 2026. doi: 10.1109/JAS.2025.125564

Representation Then Augmentation: Wide Graph Clustering Network With Multi-Order Filter Fusion and Double-Level Contrastive Learning

doi: 10.1109/JAS.2025.125564
Funds:  This research was supported by the National Natural Science Foundation of China (62225303, 62403043, 62433004), the Beijing Natural Science Foundation (4244085), the Postdoctoral Fellowship Program of China Postdoctoral Science Foundation (GZC20230203) and the China Postdoctoral Science Foundation (2023M740201)
More Information
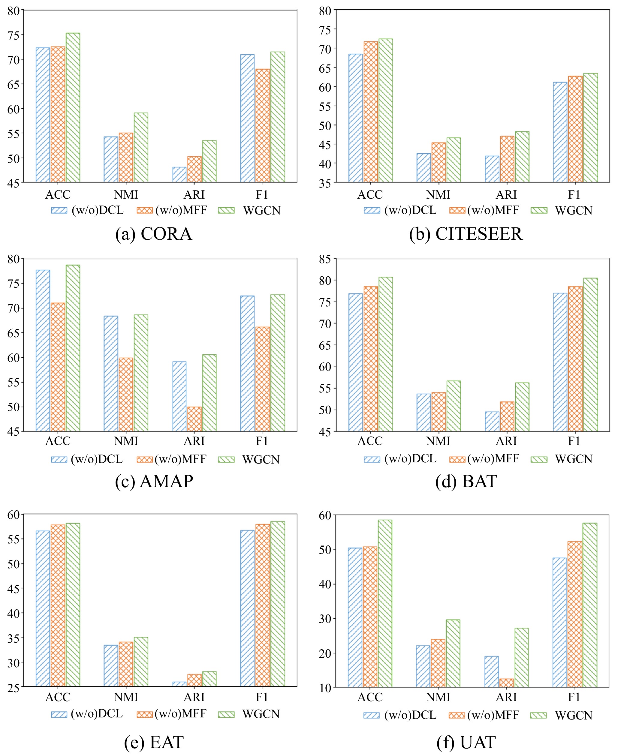
  • Deep graph contrastive clustering has attracted widespread attentions due to its self-supervised representation learning paradigm and superior clustering performance. Although, two challenges emerge and result in high computational costs. Most existing contrastive methods adopt the data augmentation and then representation learning strategy, where representation learning with trainable graph convolution is coupled with complex and fixed data augmentation, inevitably limiting the efficiency and flexibility. The similarity metric between positive-negative sample pairs is complex and contrastive objective is partial, limiting the discriminability of representation learning. To solve these challenges, a novel wide graph clustering network (WGCN) adhering to representation and then augmentation framework is proposed, which mainly consists of multi-order filter fusion (MFF) and double-level contrastive learning (DCL) modules. Specifically, the MFF module integrates multi-order low-pass filters to extract smooth and multi-scale topological features, utilizing self-attention fusion to reduce redundancy and obtain comprehensive embedding representation. Further, the DCL module constructs two augmented views by the parallel parameter-unshared Siamese encoders rather than complex augmentations on graph. To achieve simple yet effective self-supervised learning, representation self-supervision and structural consistency oriented double-level contrastive loss is designed, where representation self-supervision maximizes the agreement between pairwise augmented embedding representations and structural consistency promotes the mutual information correlation between appending neighborhoods with similar semantics. Extensive experiments on six benchmark datasets demonstrate the superiority of the proposed WGCN, especially highlighting its time-saving characteristic. The code could be available in the https://github.com/TianxiangZhao0474/WGCN.

     

  • loading
  • [1]
    G. Fortino, F. Messina, D. Rosaci, and G. M. Sarnè, “ResIoT: An IoT social framework resilient to malicious activities,” IEEE/CAA J. Autom. Sinica, vol. 7, no. 5, pp. 1263–1278, 2020. doi: 10.1109/JAS.2020.1003330
    [2]
    Y. Tian, Y. Feng, X. Zhang, and C. Sun, “A fast clustering based evolutionary algorithm for super-large-scale sparse multi-objective optimization,” IEEE/CAA J. Autom. Sinica, vol. 10, no. 4, pp. 1048–1063, 2022.
    [3]
    Y. Ren, J. Pu, Z. Yang, J. Xu, G. Li, X. Pu, S. Y. Philip, and L. He, “Deep clustering: A comprehensive survey,” IEEE Trans. Neural Networks and Learning Systems, vol. 36, no. 4, pp. 5858–5878, 2025. doi: 10.1109/TNNLS.2024.3403155
    [4]
    Y. Qin, H. Wu, J. Zhao, and G. Feng, “Enforced block diagonal subspace clustering with closed form solution,” Pattern Recognition, vol. 130, p. 108791, 2022. doi: 10.1016/j.patcog.2022.108791
    [5]
    Y. Yang, Y. Sun, S. Wang, J. Guo, J. Gao, F. Ju, and B. Yin, “Graph neural networks with soft association between topology and attribute,” in Proc. AAAI, 2024, pp. 9260–9268.
    [6]
    Z. Chen, Z. Wu, S. Wang, and W. Guo, “Dual low-rank graph autoencoder for semantic and topological networks,” in Proc. AAAI, 2023, pp. 4191–4198.
    [7]
    Z. Chen, Z. Wu, Z. Lin, S. Wang, C. Plant, and W. Guo, “AGNN: Alternating graph-regularized neural networks to alleviate over-smoothing,” IEEE Trans. Neural Networks and Learning Systems, vol. 35, no. 10, pp. 13764–13776, 2024. doi: 10.1109/TNNLS.2023.3271623
    [8]
    G. Wan, Y. Tian, W. Huang, N. V. Chawla, and M. Ye, “S3GCL: Spectral, swift, spatial graph contrastive learning,” in Proc. ICML, 2024. [Online], Available: https://openreview.net/forum?id=znKAWRZSF9.
    [9]
    G. Wan, W. Huang, and M. Ye, “Federated graph learning under domain shift with generalizable prototypes,” in Proc. AAAI, 2024, pp. 15429–15437.
    [10]
    J. Zhao, J. Guo, Y. Sun, J. Gao, S. Wang, and B. Yin, “Adaptive graph convolutional clustering network with optimal probabilistic graph,” Neural Networks, vol. 156, pp. 271–284, 2022. doi: 10.1016/j.neunet.2022.09.017
    [11]
    X. Wu, Z. Ren, and F. R. Yu, “Parameter-free shifted Laplacian reconstruction for multiple kernel clustering,” IEEE/CAA J. Autom. Sinica, vol. 11, no. 4, pp. 1072–1074, 2023.
    [12]
    S. Wang, X. Lin, Z. Fang, S. Du, and G. Xiao, “Contrastive consensus graph learning for multi-view clustering,” IEEE/CAA J. Autom. Sinica, vol. 9, no. 11, pp. 2027–2030, 2022. doi: 10.1109/JAS.2022.105959
    [13]
    K. Liang, L. Meng, M. Liu, Y. Liu, W. Tu, S. Wang, S. Zhou, X. Liu, F. Sun, and K. He, “A survey of knowledge graph reasoning on graph types: Static, dynamic, and multi-modal,” IEEE Trans. Pattern Analysis and Machine Intelligence, vol. 46, no. 12, pp. 9456–9478, 2024. doi: 10.1109/TPAMI.2024.3417451
    [14]
    Z. Wei, H. Zhao, Z. Li, X. Bu, Y. Chen, X. Zhang, Y. Lv, and F.-Y. Wang, “STGSA: A novel spatial-temporal graph synchronous aggregation model for traffic prediction,” IEEE/CAA J. Autom. Sinica, vol. 10, no. 1, pp. 226–238, 2023. doi: 10.1109/JAS.2023.123033
    [15]
    T. N. Kipf and M. Welling, “Semi-supervised classification with graph convolutional networks,” in Proc. ICLR, 2017. [Online], Available: https://openreview.net/forum?id=SJU4ayYgl.
    [16]
    Z. Wu, S. Pan, F. Chen, G. Long, C. Zhang, and S. Y. Philip, “A comprehensive survey on graph neural networks,” IEEE Trans. Neural Networks and Learning Systems, vol. 32, no. 1, pp. 4–24, 2021. doi: 10.1109/TNNLS.2020.2978386
    [17]
    X. Hong, T. Zhang, Z. Cui, and J. Yang, “Variational gridded graph convolution network for node classification,” IEEE/CAA J. Autom. Sinica, vol. 8, no. 10, pp. 1697–1708, 2021. doi: 10.1109/JAS.2021.1004201
    [18]
    S. Wang, J. Yang, J. Yao, Y. Bai, and W. Zhu, “An overview of advanced deep graph node clustering,” IEEE Trans. Comput. Social Systems, vol. 11, no. 1, pp. 1302–1314, 2024. doi: 10.1109/TCSS.2023.3242145
    [19]
    Y. Liu, J. Xia, S. Zhou, X. Yang, K. Liang, C. Fan, Y. Zhuang, S. Z. Li, X. Liu, and K. He, “A survey of deep graph clustering: Taxonomy, challenge, application, and open resource,” arXiv preprint arXiv: 2211.12875, 2022.
    [20]
    G. Du, L. Zhou, Z. Li, L. Wang, and K. Lü, “Neighbor-aware deep multi-view clustering via graph convolutional network,” Information Fusion, vol. 93, pp. 330–343, 2023. doi: 10.1016/j.inffus.2023.01.001
    [21]
    P. Veličković, G. Cucurull, A. Casanova, A. Romero, P. Lio, and Y. Bengio, “Graph attention networks,” in Proc. ICLR, 2018. [Online], Available: https://openreview.net/forum?id=rJXMpikCZ.
    [22]
    C. Wang, S. Pan, R. Hu, G. Long, J. Jiang, and C. Zhang, “Attributed graph clustering: A deep attentional embedding approach,” in Proc. IJCAI, 2019, pp. 3670–3676.
    [23]
    D. Bo, X. Wang, C. Shi, M. Zhu, E. Lu, and P. Cui, “Structural deep clustering network,” in Proc. WWW, 2020, pp. 1400–1410.
    [24]
    W. Tu, S. Zhou, X. Liu, X. Guo, Z. Cai, E. Zhu, and J. Cheng, “Deep fusion clustering network,” in Proc. AAAI, 2021, pp. 9978–9987.
    [25]
    J. Cheng, Q. Wang, Z. Tao, D. Xie, and Q. Gao, “Multi-view attribute graph convolution networks for clustering,” in Proc. IJCAI, 2021, pp. 2973–2979.
    [26]
    Z. Chen, L. Fu, J. Yao, W. Guo, C. Plant, and S. Wang, “Learnable graph convolutional network and feature fusion for multi-view learning,” Information Fusion, vol. 95, pp. 109–119, 2023. doi: 10.1016/j.inffus.2023.02.013
    [27]
    S. Pan, R. Hu, G. Long, J. Jiang, L. Yao, and C. Zhang, “Adversarially regularized graph autoencoder for graph embedding,” in Proc. IJCAI, 2018, pp. 2609–2615.
    [28]
    Z. Tao, H. Liu, J. Li, Z. Wang, and Y. Fu, “Adversarial graph embedding for ensemble clustering,” in Proc. IJCAI, 2019, pp. 3562–3568.
    [29]
    Y. Yang, F. Ju, Y. Sun, J. Gao, and B. Yin, “Adversarially regularized joint structured clustering network,” Information Sciences, vol. 615, pp. 136–151, 2022. doi: 10.1016/j.ins.2022.09.066
    [30]
    H. Zhao, X. Yang, Z. Wang, E. Yang, and C. Deng, “Graph debiased contrastive learning with joint representation clustering.” in Proc. IJCAI, 2021, pp. 3434–3440.
    [31]
    K. Hassani and A. H. Khasahmadi, “Contrastive multi-view representation learning on graphs,” in Proc. ICML, 2020, pp. 4116–4126.
    [32]
    W. Xia, Q. Wang, Q. Gao, M. Yang, and X. Gao, “Self-consistent contrastive attributed graph clustering with pseudo-label prompt,” IEEE Trans. Multimedia, vol. 25, pp. 6665–6677, 2022.
    [33]
    Y. Liu, W. Tu, S. Zhou, X. Liu, L. Song, X. Yang, and E. Zhu, “Deep graph clustering via dual correlation reduction,” in Proc. AAAI, 2022, pp. 7603–7611.
    [34]
    X. Yang, C. Tan, Y. Liu, K. Liang, S. Wang, S. Zhou, J. Xia, S. Z. Li, X. Liu, and E. Zhu, “Convert: Contrastive graph clustering with reliable augmentation,” in Proc. ACM MM, 2023, pp. 319–327.
    [35]
    X. Shen, D. Sun, S. Pan, X. Zhou, and L. T. Yang, “Neighbor contrastive learning on learnable graph augmentation,” in Proc. AAAI, 2023, pp. 9782–9791.
    [36]
    X. Yan, K. Deng, Q. Zou, Z. Tian, and H. Yu, “Self-cumulative contrastive graph clustering,” IEEE/CAA J. Autom. Sinica, vol. 12, no. 6, pp. 1194–1208, 2025. doi: 10.1109/JAS.2024.125025
    [37]
    T. N. Kipf and M. Welling, “Variational graph auto-encoders,” in Proc. NIPS, 2016. [Online], Available: https://arxiv.org/abs/1611.07308
    [38]
    G. Huo, Y. Zhang, J. Gao, B. Wang, Y. Hu, and B. Yin, “CaEGCN: Cross-attention fusion based enhanced graph convolutional network for clustering,” IEEE Trans. Knowledge and Data Engineering, vol. 35, no. 4, pp. 3471–3483, 2023. doi: 10.1109/TKDE.2021.3125020
    [39]
    W. Xia, Q. Gao, M. Yang, and X. Gao, “Self-supervised contrastive attributed graph clustering,” arXiv preprint arXiv: 2110.08264, 2021.
    [40]
    X. Yang, E. Min, K. Liang, Y. Liu, S. Wang, S. Zhou, H. Wu, X. Liu, and E. Zhu, “GraphLearner: Graph node clustering with fully learnable augmentation,” in Proc. ACM MM, 2024, pp. 5517–5526.
    [41]
    X. Yang, Y. Liu, S. Zhou, S. Wang, W. Tu, Q. Zheng, X. Liu, L. Fang, and E. Zhu, “Cluster-guided contrastive graph clustering network,” in Proc. AAAI, 2023, pp. 10834–10842.
    [42]
    Y. Liu, X. Yang, S. Zhou, X. Liu, S. Wang, K. Liang, W. Tu, and L. Li, “Simple contrastive graph clustering,” IEEE Trans. Neural Networks and Learning Systems, vol. 35, no. 10, pp. 13 789–13 800, 2024. doi: 10.1109/TNNLS.2023.3271871
    [43]
    W. Xia, S. Wang, M. Yang, Q. Gao, J. Han, and X. Gao, “Multi-view graph embedding clustering network: Joint self-supervision and block diagonal representation,” Neural Networks, vol. 145, pp. 1–9, 2022. doi: 10.1016/j.neunet.2021.10.006
    [44]
    G. Cui, J. Zhou, C. Yang, and Z. Liu, “Adaptive graph encoder for attributed graph embedding,” in Proc. SIGKDD, 2020, pp. 976–985.
    [45]
    W. Jin, X. Liu, X. Zhao, Y. Ma, N. Shah, and J. Tang, “Automated self-supervised learning for graphs,” arXiv preprint arXiv: 2106.05470, 2021.
    [46]
    N. Lee, J. Lee, and C. Park, “Augmentation-free self-supervised learning on graphs,” in Proc. AAAI, 2022, pp. 7372–7380.
    [47]
    L. van der Maaten and G. Hinton, “Visualizing data using t-SNE,” J. Machine Learning Research, vol. 9, no. 86, pp. 2579–2605, 2008.

Catalog

    通讯作者: 陈斌, bchen63@163.com
    • 1. 

      沈阳化工大学材料科学与工程学院 沈阳 110142

    1. 本站搜索
    2. 百度学术搜索
    3. 万方数据库搜索
    4. CNKI搜索

    Figures(7)  / Tables(9)

    Article Metrics

    Article views (185) PDF downloads(5) Cited by()

    /

    DownLoad:  Full-Size Img  PowerPoint
    Return
    Return