A journal of IEEE and CAA , publishes high-quality papers in English on original theoretical/experimental research and development in all areas of automation
Volume 13 Issue 2
Feb.  2026

IEEE/CAA Journal of Automatica Sinica

  • JCR Impact Factor: 19.2, Top 1 (SCI Q1)
    CiteScore: 28.2, Top 1% (Q1)
    Google Scholar h5-index: 95, TOP 5
Turn off MathJax
Article Contents
D. Yu, H. Li, L. Fan, Z. Wang, and X. Li, “Searching positive-incentive noise from optimal consensus in continuous action iterated dilemma,” IEEE/CAA J. Autom. Sinica, vol. 13, no. 2, pp. 409–420, Feb. 2026. doi: 10.1109/JAS.2025.125348
Citation: D. Yu, H. Li, L. Fan, Z. Wang, and X. Li, “Searching positive-incentive noise from optimal consensus in continuous action iterated dilemma,” IEEE/CAA J. Autom. Sinica, vol. 13, no. 2, pp. 409–420, Feb. 2026. doi: 10.1109/JAS.2025.125348

Searching Positive-Incentive Noise From Optimal Consensus in Continuous Action Iterated Dilemma

doi: 10.1109/JAS.2025.125348
Funds:  This work was supported by the National Science Fund for Distinguished Young Scholars (62025602), the National Natural Science Foundation of China (62373302, U22B2036), the National Key Research and Development Program of China (2024YFF0509600), the Fundamental Research Funds for the Central Universities (G2024WD0151, D5000240309), and the Tencent Foundation and XPLORER PRIZE
More Information
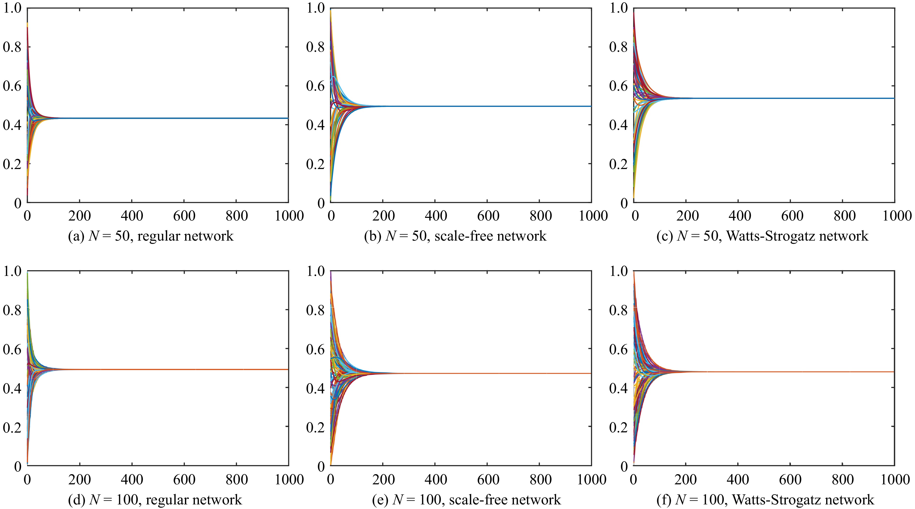
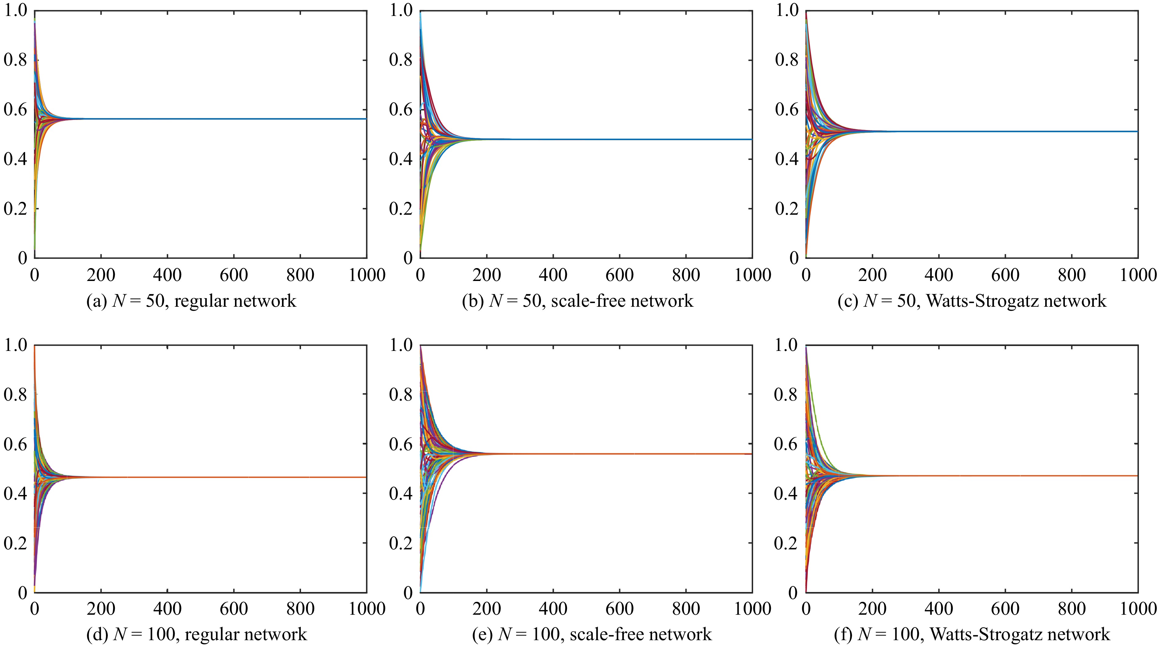
  • In this paper, an analysis-definition-processing (ADP) framework is proposed to search positive-incentive noise in continuous action iterated dilemma (CAID). We analyze the influence of communication noise on the cooperative behavior of players in the system and introduce the concept of positive-incentive noise in CAID. We design a global cost function to ensure convergence of the system can be achieved and strive to improve the final level of cooperation. An optimal CAID control method is proposed to derive the deterministic optimal learning rate in analytical form, avoiding the variability and uncertainty brought about by neural network fitting or parameter adjustment. On this basis, the convergence of the dynamic model is further analyzed by using the Lyapunov function instead of the Jacobian matrix. Additionally, an adaptive filtering mechanism is designed to dynamically ensure that only positive-incentive noise affects the system, effectively reducing the impact of negative noise and enhancing system stability. The framework is validated through simulations involving triple classical game models, including the hawk-dove game, the stag hunt game, the chicken game on networks, and a straightforward illustrative example.

     

  • loading
  • [1]
    J. Sang, D. Ma, and Y. Zhou, “Group-consensus of hierarchical containment control for linear multi-agent systems,” IEEE/CAA J. Autom. Sinica, vol. 10, no. 6, pp. 1462–1474, 2023. doi: 10.1109/JAS.2023.123528
    [2]
    J. Wang, Y. Hong, J. Wang, J. Xu, Y. Tang, Q.-L. Han, and J. Kurths, “Cooperative and competitive multi-agent systems: From optimization to games,” IEEE/CAA J. Autom. Sinica, vol. 9, no. 5, pp. 763–783, 2022. doi: 10.1109/JAS.2022.105506
    [3]
    Z. Zhou, J. Liu, and J. Yu, “A survey of underwater multi-robot systems,” IEEE/CAA J. Autom. Sinica, vol. 9, no. 1, pp. 1–18, 2021.
    [4]
    D. Zhang, G. Feng, Y. Shi, and D. Srinivasan, “Physical safety and cyber security analysis of multi-agent systems: A survey of recent advances,” IEEE/CAA J. Autom. Sinica, vol. 8, no. 2, pp. 319–333, 2021. doi: 10.1109/JAS.2021.1003820
    [5]
    Z. Wang, X. Jin, T. Zhang, and D. Yu, “A finite-time convergent analysis of continuous action iterated dilemma,” IEEE/CAA J. Autom. Sinica, vol. 11, no. 2, pp. 563–565, 2024. doi: 10.1109/JAS.2023.123606
    [6]
    Z. Wang, M. Jusup, L. Shi, J.-H. Lee, Y. Iwasa, and S. Boccaletti, “Exploiting a cognitive bias promotes cooperation in social dilemma experiments,” Nature Communications, vol. 9, no. 1, p. 2954, 2018. doi: 10.1038/s41467-018-05259-5
    [7]
    X.-J. Li and X. Li, “Perception effect in evolutionary vaccination game under prospect-theoretic approach,” IEEE Trans. Computational Social Systems, vol. 7, no. 2, pp. 329–338, 2020. doi: 10.1109/TCSS.2019.2960818
    [8]
    M. Feng, B. Pi, L.-J. Deng, and J. Kurths, “An evolutionary game with the game transitions based on the Markov process,” IEEE Trans. Systems, Man, and Cybern.: Systems, vol. 54, no. 1, pp. 609–621, 2024. doi: 10.1109/TSMC.2023.3315963
    [9]
    Z. Wang, C. Mu, S. Hu, C. Chu, and X. Li, “Modelling the dynamics of regret minimization in large agent populations: A master equation approach.” in Proc. IJCAI, 2022, pp. 534–540.
    [10]
    O. Leimar, S. R. Dall, A. I. Houston, and J. M. McNamara, “Behavioural specialization and learning in social networks,” Proc. Royal Society B, vol. 289, no. 1980, p. 20220954, 2022. doi: 10.1098/rspb.2022.0954
    [11]
    W. Wang, D. T. Hoang, P. Hu, Z. Xiong, D. Niyato, P. Wang, Y. Wen, and D. I. Kim, “A survey on consensus mechanisms and mining strategy management in blockchain networks,” IEEE Access, vol. 7, p. 22, 2019.
    [12]
    Y. Xing, J. Wu, F. Chiclana, G. Yu, M. Cao, and E. Herrera-Viedma, “A bargaining game based feedback mechanism to support consensus in dynamic social network group decision making,” Information Fusion, vol. 93, pp. 363–382, 2023. doi: 10.1016/j.inffus.2023.01.004
    [13]
    X. Jin, Z. Wang, D. Yu, and X. Li, “The convergence analysis of evolutionary dynamics for continuous action iterated dilemma in information loss networks,” IEEE Trans. Comput. Social Systems, vol. 11, no. 2, pp. 2595–2605, 2024. doi: 10.1109/TCSS.2023.3273559
    [14]
    S.-N. Shan, Z.-C. Zhang, W.-Y. Ji, and H. Wang, “Analysis of collaborative urban public crisis governance in complex system: A multi-agent stochastic evolutionary game approach,” Sustainable Cities and Society, vol. 91, p. 104418, 2023. doi: 10.1016/j.scs.2023.104418
    [15]
    C. Dong, J. Liu, and J. Mi, “How to enhance data sharing in digital government construction: A tripartite stochastic evolutionary game approach,” Systems, vol. 11, no. 4, p. 212, 2023. doi: 10.3390/systems11040212
    [16]
    R. Fan, F. Chen, Y. Wang, Y. Wang, and R. Chen, “Study on population behavior under home quarantine policies of COVID-19 in China based on double-layer network evolutionary games,” J. Intelligent & Fuzzy Systems, vol. 44, no. 4, pp. 6709–6722, 2023.
    [17]
    M. Chica, R. Chiong, J. J. Ramasco, and H. Abbass, “Effects of update rules on networked n-player trust game dynamics,” Communi. in Nonlinear Science and Numerical Simulation, vol. 79, p. 104870, 2019. doi: 10.1016/j.cnsns.2019.104870
    [18]
    K. A. Kabir and J. Tanimoto, “The role of pairwise nonlinear evolutionary dynamics in the rock-paper-scissors game with noise,” Applied Math. and Computation, vol. 394, p. 125767, 2021. doi: 10.1016/j.amc.2020.125767
    [19]
    H. Liang, Y. Cui, X. Ren, and X. Wang, “Almost sure exponential stability of two-strategy evolutionary games with multiplicative noise,” Inform. Sciences, vol. 579, pp. 888–903, 2021. doi: 10.1016/j.ins.2021.08.091
    [20]
    H. Liang, Y. Cui, Z. Zhou, and B. Ding, “Two-strategy evolutionary games with stochastic adaptive control,” Int. J. Adaptive Control and Signal Processing, vol. 36, no. 2, pp. 251–263, 2022. doi: 10.1002/acs.3301
    [21]
    K. A. Kabir, M. S. Islam, and S. Nijhum, “Exploring the performance of volatile mutations on evolutionary game dynamics in complex networks,” Heliyon, vol. 9, no. 6, p. e16790, 2023. doi: 10.1016/j.heliyon.2023.e16790
    [22]
    K. Okita, Y. Tatsukawa, S. Utsumi, M. R. Arefin, M. A. Hossain, and J. Tanimoto, “Stochastic resonance effect observed in a vaccination game with effectiveness framework obeying the sir process on a scale-free network,” Chaos, Solitons & Fractals, vol. 167, p. 113029, 2023.
    [23]
    M. Alam, K. Nagashima, and J. Tanimoto, “Various error settings bring different noise-driven effects on network reciprocity in spatial prisoner’s dilemma,” Chaos, Solitons & Fractals, vol. 114, pp. 338–346, 2018.
    [24]
    X. Li, “Positive-incentive noise,” IEEE Trans. Neural Networks and Learning Systems, vol. 35, no. 6, pp. 8708–8714, 2024. doi: 10.1109/TNNLS.2022.3224577
    [25]
    Q. Wei, X. Wang, X. Zhong, and N. Wu, “Consensus control of leader-following multi-agent systems in directed topology with heterogeneous disturbances,” IEEE/CAA J. Autom. Sinica, vol. 8, no. 2, pp. 423–431, 2021. doi: 10.1109/JAS.2021.1003838
    [26]
    G. Zhang, B. Liu, L. Wang, D. Yu, and K. Xing, “Distributed coevolutionary memetic algorithm for distributed hybrid differentiation flowshop scheduling problem,” IEEE Trans. Evolutionary Computation, vol. 26, no. 5, pp. 1043–1057, 2022. doi: 10.1109/TEVC.2022.3150771
    [27]
    P. Yu, K.-Z. Liu, X. Liu, X. Li, M. Wu, and J. She, “Robust consensus tracking control of uncertain multi-agent systems with local disturbance rejection,” IEEE/CAA J. Autom. Sinica, vol. 10, no. 2, pp. 427–438, 2023. doi: 10.1109/JAS.2023.123231
    [28]
    Z. Zhang and Z. Li, “Personalized individual semantics-based consistency control and consensus reaching in linguistic group decision making,” IEEE Trans. Systems, Man, and Cybern.: Systems, vol. 52, no. 9, pp. 5623–5635, 2021.
    [29]
    L. Mo and S. Guo, “Consensus of linear multi-agent systems with persistent disturbances via distributed output feedback,” J. Systems Science and Complexity, vol. 32, pp. 835–845, 2019. doi: 10.1007/s11424-018-7265-y
    [30]
    Y. Zheng, Y. Wei, and S. Li, “Coupling degree clustering-based distributed model predictive control network design,” IEEE Trans. Automation Science and Engineering, vol. 15, no. 4, pp. 1749–1758, 2018. doi: 10.1109/TASE.2017.2780444
    [31]
    L. Chen, Y. Li, and S. Tong, “Neural network adaptive consensus control for nonlinear multi-agent systems encountered sensor attacks,” Int. J. Systems Science, vol. 54, no. 12, pp. 2536–2550, 2023. doi: 10.1080/00207721.2023.2240465
    [32]
    T. Aschenbruck, F. Petzke, P. Rumschinski, and S. Streif, “On consistency, viability, and admissibility in constrained ensemble and hierarchical control systems,” IEEE Trans. Autom. Control, vol. 68, no. 8, pp. 4990–4997, 2023. doi: 10.1109/TAC.2022.3217925
    [33]
    N. Zhang, J. Xia, J. H. Park, J. Zhang, and H. Shen, “Improved disturbance observer-based fixed-time adaptive neural network consensus tracking for nonlinear multi-agent systems,” Neural Networks, vol. 162, pp. 490–501, 2023. doi: 10.1016/j.neunet.2023.03.016
    [34]
    M. Lv, B. De Schutter, C. Shi, and S. Baldi, “Logic-based distributed switching control for agents in power-chained form with multiple unknown control directions,” Automatica, vol. 137, p. 110143, 2022. doi: 10.1016/j.automatica.2021.110143
    [35]
    P. Wang, H. Deng, J. Zhang, L. Wang, M. Zhang, and Y. Li, “Model predictive control for connected vehicle platoon under switching communication topology,” IEEE Trans. Intelligent Transportation Systems, vol. 23, no. 7, pp. 7817–7830, 2021.
    [36]
    J. Liu, J. Li, H. Song, A. Nawaz, and Y. Qu, “Nonlinear secondary voltage control of islanded microgrid via distributed consistency,” IEEE Trans. Energy Conversion, vol. 35, no. 4, pp. 1964–1972, 2020. doi: 10.1109/TEC.2020.2998897
    [37]
    Y. Zhu, Z. Wang, H. Liang, and C. K. Ahn, “Neural-network-based predefined-time adaptive consensus in nonlinear multi-agent systems with switching topologies,” IEEE Trans. Neural Networks and Learning Systems, vol. 35, no. 7, pp. 9995–10005, 2024. doi: 10.1109/TNNLS.2023.3238336
    [38]
    F. L. Lewis, H. Zhang, K. Hengster-Movric, and A. Das, Cooperative Control of Multi-Agent Systems: Optimal and Adaptive Design Approaches. Springer Science & Business Media, 2013.
    [39]
    Tulus, L. Siahaan, T. Marpaung, and M. Syahputra, “Stability analysis of heartbeat system with Lyapunov’s direct method,” J. Physics: Conf. Series, vol. 1542, no. 1, p. 12054, 2020. doi: 10.1088/1742-6596/1542/1/012054
    [40]
    Y. Meng, M. Broom, and A. Li, “Impact of misinformation in the evolution of collective cooperation on networks,” J. Royal Society Interface, vol. 20, no. 206, p. 20230295, 2023. doi: 10.1098/rsif.2023.0295

Catalog

    通讯作者: 陈斌, bchen63@163.com
    • 1. 

      沈阳化工大学材料科学与工程学院 沈阳 110142

    1. 本站搜索
    2. 百度学术搜索
    3. 万方数据库搜索
    4. CNKI搜索

    Figures(9)

    Article Metrics

    Article views (173) PDF downloads(4) Cited by()

    /

    DownLoad:  Full-Size Img  PowerPoint
    Return
    Return