A journal of IEEE and CAA , publishes high-quality papers in English on original theoretical/experimental research and development in all areas of automation
Volume 12 Issue 11
Nov.  2025

IEEE/CAA Journal of Automatica Sinica

  • JCR Impact Factor: 19.2, Top 1 (SCI Q1)
    CiteScore: 28.2, Top 1% (Q1)
    Google Scholar h5-index: 95, TOP 5
Turn off MathJax
Article Contents
Y. Pan, T. Shi, W. Li, B. Xu, and C. K. Ahn, “Robot impedance iterative learning with sparse online Gaussian process,” IEEE/CAA J. Autom. Sinica, vol. 12, no. 11, pp. 2218–2227, Nov. 2025. doi: 10.1109/JAS.2025.125195
Citation: Y. Pan, T. Shi, W. Li, B. Xu, and C. K. Ahn, “Robot impedance iterative learning with sparse online Gaussian process,” IEEE/CAA J. Autom. Sinica, vol. 12, no. 11, pp. 2218–2227, Nov. 2025. doi: 10.1109/JAS.2025.125195

Robot Impedance Iterative Learning With Sparse Online Gaussian Process

doi: 10.1109/JAS.2025.125195
Funds:  This work was supported in part by the National Research Foundation of Korea (NRF) Grant Funded by the Korea Government (MSIT) (RS-2025-00555064)
More Information
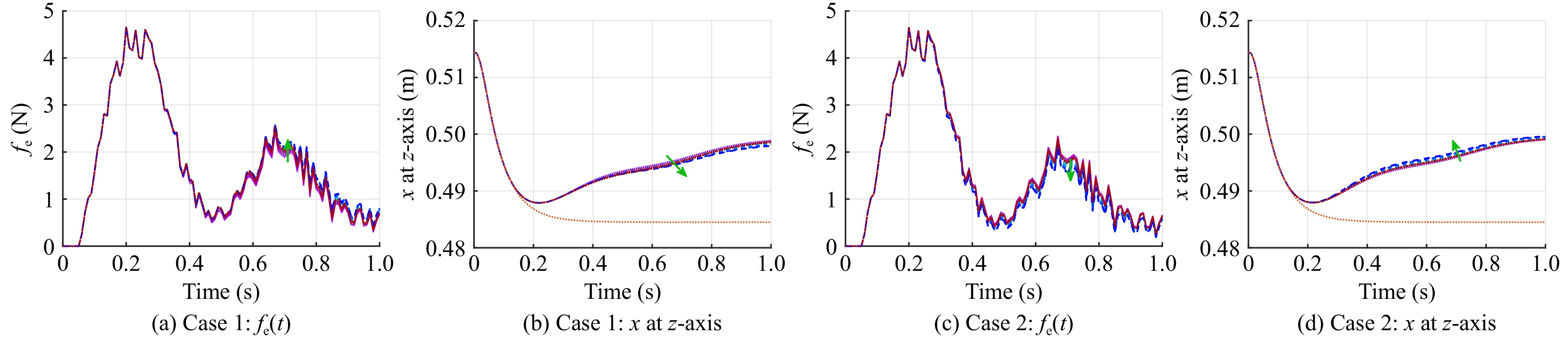
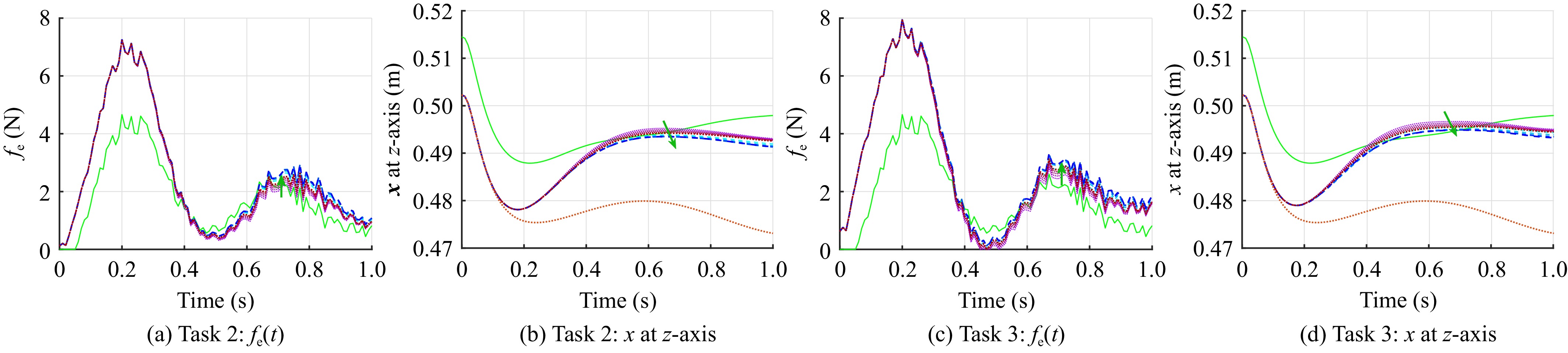
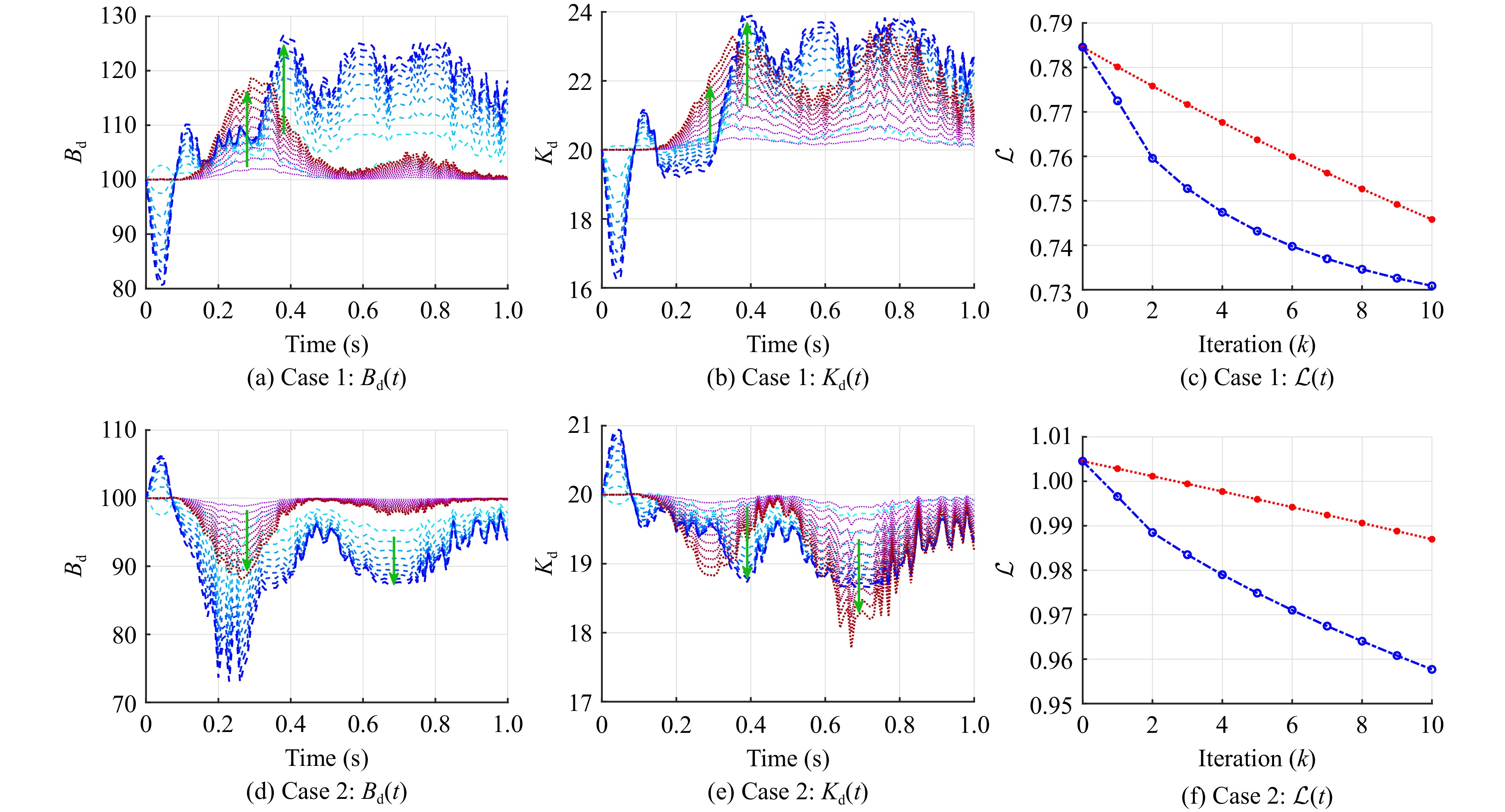
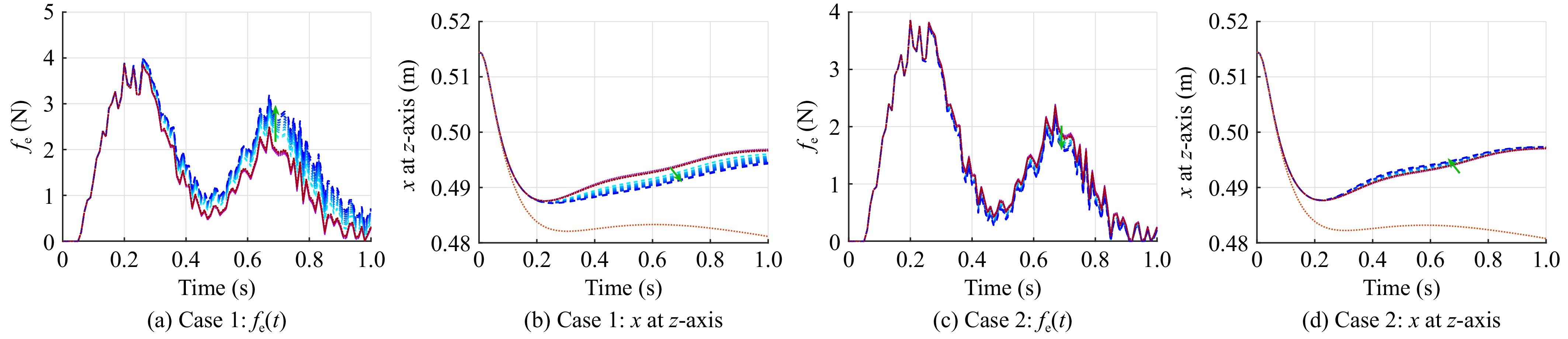
  • Robot interaction control with variable impedance parameters may conform to task requirements during continuous interaction with dynamic environments. Iterative learning (IL) is effective to learn desired impedance parameters for robots under unknown environments, and Gaussian process (GP) is a nonparametric Bayesian approach that models complicated functions with provable confidence using limited data. In this paper, we propose an impedance IL method enhanced by a sparse online Gaussian process (SOGP) to speed up learning convergence and improve generalization. The SOGP for variable impedance modeling is updated in the same iteration by removing similar data points from previous iterations while learning impedance parameters in multiple iterations. The proposed IL-SOGP method is verified by high-fidelity simulations of a collaborative robot with 7 degrees of freedom based on the admittance control framework. It is shown that the proposed method accelerates iterative convergence and improves generalization compared to the classical IL-based impedance learning method.

     

  • loading
  • [1]
    E. Matheson, R. Minto, E. G. Zampieri, M. Faccio, and G. Rosati, “Human-robot collaboration in manufacturing applications: A review,” Robot., vol. 8, no. 4, p. 100, Dec. 2019. doi: 10.3390/robotics8040100
    [2]
    G. Kang, H. S. Oh, J. K. Seo, U. Kim, and H. R. Choi, “Variable admittance control of robot manipulators based on human intention,” IEEE/ASME Trans. Mechatronics, vol. 24, no. 3, pp. 1023–1032, Jun. 2019. doi: 10.1109/TMECH.2019.2910237
    [3]
    C. Ott, R. Mukherjee, and Y. Nakamura, “A hybrid system framework for unified impedance and admittance control,” J. Intell. Robot. Syst., vol. 78, no. 3–4, pp. 359–375, Jul. 2015. doi: 10.1007/s10846-014-0082-1
    [4]
    M. Sharifi, A. Zakerimanesh, J. K. Mehr, A. Torabi, V. K. Mushahwar, and M. Tavakoli, “Impedance variation and learning strategies in human-robot interaction,” IEEE Trans. Cybern., vol. 52, no. 7, pp. 6462–6475, Jul. 2022. doi: 10.1109/TCYB.2020.3043798
    [5]
    N. Nikooienejad, M. Maroufi, and S. O. Reza Moheimani, “A survey of iterative learning control: A learning-based method for high-performance tracking control,” IEEE Control Syst. Mag., vol. 26, no. 3, pp. 96–114, Jun. 2006. doi: 10.1109/MCS.2006.1636313
    [6]
    Y. Li and S. S. Ge, “Impedance learning for robots interacting with unknown environments,” IEEE Trans. Control Syst. Technol., vol. 22, no. 4, pp. 1422–1432, Jul. 2014. doi: 10.1109/TCST.2013.2286194
    [7]
    S. Riaz, L. Hui, M. S. Aldemir, and F. Afzal, “A future concern of iterative learning control: A survey,” J. Stat. Manag. Syst., vol. 24, no. 6, pp. 1301–1322, Apr. 2021.
    [8]
    D. Zhang, Z. Wang, and T. Masayoshi, “Neural-network-based iterative learning control for multiple tasks,” IEEE Trans. Neural Netw. Learn. Syst., vol. 32, no. 9, pp. 4178–4190, Sept. 2020.
    [9]
    L. Rath, A. R. Geist, and S. Trimpe, “Using physics knowledge for learning rigid-body forward dynamics with Gaussian process force priors,” in Proc. Conf. Robot Learn., London, UK, 2021, pp. 101–111.
    [10]
    J. Lee, J. Feng, M. Humt, M. G. Müller, and R. Triebel, “Trust your robots! predictive uncertainty estimation of neural networks with sparse Gaussian processes,” in Proc. Conf. Robot Learn., London, UK, 2021, pp. 1168–1179.
    [11]
    H. Liu, Y.-S. Ong, X. Shen, and J. Cai, “When Gaussian process meets big data: A review of scalable GPs,” IEEE Trans. Neural Netw. Learn. Syst., vol. 31, no. 11, pp. 4405–4423, Nov. 2020. doi: 10.1109/TNNLS.2019.2957109
    [12]
    L. Csato and M. Opper, “Sparse on-line Gaussian processes,” Neural Comput., vol. 14, no. 3, pp. 641–668, Mar. 2002. doi: 10.1162/089976602317250933
    [13]
    J. S. De La Cruz, W. Owen, and D. Kulic, “Online learning of inverse dynamics via Gaussian process regression,” in Proc. IEEE/RSJ Int. Conf. Intell. Robot. Syst., Vilamoura, Algarve, Portugal, 2012, pp. 3583–3590.
    [14]
    L. Deng, W. Li, and Y. Pan, “Data-efficient Gaussian process online learning for adaptive control of multi-DoF robotic arms,” IFAC-PapersOnLine, vol. 55, no. 2, pp. 84–89, 2022. doi: 10.1016/j.ifacol.2022.04.174
    [15]
    R.-E. Precup, S. Preitl, J. K. Tar, M. L. Tomescu, M. Takacs, P. Korondi, and P. Baranyi, “Fuzzy control system performance enhancement by iterative learning control,” IEEE Trans. Ind. Electron., vol. 55, no. 9, pp. 3461–3475, Sept. 2008. doi: 10.1109/TIE.2008.925322
    [16]
    J. Wang, Y. Gao, Y. Gao, J. Liu, G. Sun, and L. Wu, “Intelligent dynamic practical-sliding-mode control for singular Markovian jump systems,” Inf. Sci., vol. 607, pp. 153–172, Aug. 2022. doi: 10.1016/j.ins.2022.05.059
    [17]
    I. A. Zamfirache, R.-E. Precup, R.-C. Roman, and E. M. Petriu, “Neural network-based control using actor-critic reinforcement learning and grey wolf optimizer with experimental servo system validation,” Expert Syst. Appl., vol. 225, Art. no. 120112, Sept. 2023.
    [18]
    F. Dimeas and N. Aspragathos, “Fuzzy learning variable admittance control for human-robot cooperation,” in Proc. IEEE/RSJ Int. Conf. Intell. Robot. Syst., Chicago, IL, USA, 2014, pp. 4770–4775.
    [19]
    A.-N. Sharkawy, P. N. Koustournpardis, and N. Aspragathos, “Variable admittance control for human-robot collaboration based on online neural network training,” in Proc. IEEE/RSJ Int. Conf. Intell. Robot. Syst., Madrid, Spain, 2018, pp. 1334–1339.
    [20]
    A.-N. Sharkawy, P. Koustoumpardis, and N. Aspragathos, “A neural network-based approach for variable admittance control in human-robot cooperation: Online adjustment of the virtual inertia,” Intel. Serv. Robotics, vol. 13, pp. 495–519, Aug. 2020. doi: 10.1007/s11370-020-00337-4
    [21]
    X. Yu, W. He, Y. Li, C. Xue, J. Li, J. Zou, and C. Yang, “Bayesian estimation of human impedance and motion intention for human-robot collaboration,” IEEE Trans. Cybern., vol. 51, no. 4, pp. 1822–1834, Apr. 2021. doi: 10.1109/TCYB.2019.2940276
    [22]
    C. Li, Z. Zhang, G. Xia, X. Xie, and Q. Zhu, “Efficient learning variable impedance control for industrial robots,” Bull. Pol. Acad. Sci. Tech. Sci., vol. 67, p. 2, Apr. 2019.
    [23]
    L. Deng, Z. Li, and Y. Pan, “Sparse online Gaussian process impedance learning for multi-DoF robotic arms,” in Proc. IEEE Int. Conf. Adv. Robot. Mechatron., Chongqing, China, 2021, pp. 199–206.
    [24]
    C. Wang, Y. Li, S. S. Ge, and T. H. Lee, “Reference adaptation for robots in physical interactions with unknown environments,” IEEE Trans. Cybern., vol. 47, no. 11, pp. 3504–3515, Nov. 2017. doi: 10.1109/TCYB.2016.2562698
    [25]
    T. Yamawaki, H. Ishikawa, and M. Yashima, “Iterative learning of variable impedance control for human-robot cooperation,” in Proc. IEEE/RSJ Int. Conf. Intell. Robot. Syst., Daejeon, South Korea, 2016, pp. 839–844.
    [26]
    A. Kramberger, E. Shahriari, A. Gams, B. Nemec, A. Ude, and S. Haddadin, “Passivity based iterative learning of admittance-coupled dynamic movement primitives for interaction with changing environments,” in Proc. IEEE/RSJ Int. Conf. Intell. Robot. Syst., Madrid, Spain, 2018, pp. 6023–6028.
    [27]
    X. Li, Y.-H. Liu, and H. Yu, “Iterative learning impedance control for rehabilitation robots driven by series elastic actuators,” Automatica, vol. 90, pp. 1–7, Apr. 2018. doi: 10.1016/j.automatica.2017.12.031
    [28]
    K. Dupree, C.-H. Liang, G. Hu, and W. E. Dixon, “Adaptive lyapunov-based control of a robot and mass-spring system undergoing an impact collision,” IEEE Trans. Syst. Man Cybern. B, vol. 38, no. 4, pp. 1050–1061, Aug. 2008. doi: 10.1109/TSMCB.2008.923154
    [29]
    J. E. Colgate and N. Hogan, “Robust control of dynamically interacting systems,” Int. J. Control, vol. 48, no. 1, pp. 65–88, Oct. 1988. doi: 10.1080/00207178808906161
    [30]
    F. Ficuciello, L. Villani, and B. Siciliano, “Variable impedance control of redundant manipulators for intuitive human-robot physical interaction,” IEEE Trans. Robot., vol. 31, no. 4, pp. 850–863, Aug. 2015. doi: 10.1109/TRO.2015.2430053
    [31]
    C. E. Rasmussen and C. K. I. Williams, Gaussian Processes for Machine Learning. Cambridge, MA, USA: MIT press, 2006.
    [32]
    B. Wilcox and M. C. Yip, “SOLAR-GP: Sparse online locally adaptive regression using Gaussian processes for Bayesian robot model learning and control,” IEEE Robot. Autom. Lett., vol. 5, no. 2, pp. 2832–2839, Apr. 2020. doi: 10.1109/LRA.2020.2974432
    [33]
    X. Li, Y. Pan, G. Chen, and H. Yu, “Adaptive human-robot interaction control for robots driven by series elastic actuators,” IEEE Trans. Robot., vol. 33, no. 1, pp. 169–182, Feb. 2017. doi: 10.1109/TRO.2016.2626479
    [34]
    T. Sun, L. Peng, L. Cheng, Z.-G. Hou, and Y. Pan, “Stability-guaranteed variable impedance control of robots based on approximate dynamic inversion,” IEEE Trans. Syst. Man, Cybern. Syst., vol. 51, no. 7, pp. 4193–4200, Jul. 2019.
    [35]
    F. J. Abu-Dakka and M. Saveriano, “Variable impedance control and learning—A review,” Front. Robot. AI, vol. 7, p. 177, Dec. 2020.
    [36]
    W. Li, Z. Li, Y. Liu, and Y. Pan, “Learning inverse robot dynamics using sparse online Gaussian process with forgetting mechanism,” in Proc. IEEE Int. Conf. Adv. Intell. Mechatronics, Sapporo, Japan, 2022, pp. 638–643.
    [37]
    C. Gaz, M. Cognetti, A. Oliva, P. R. Giordano, and A. De Luca, “Dynamic identification of the Franka Emika Panda robot with retrieval of feasible parameters using penalty-based optimization,” IEEE Robot. Autom. Lett., vol. 4, no. 4, pp. 4147–4154, Oct. 2019. doi: 10.1109/LRA.2019.2931248
    [38]
    Y. Xie, X. Zhang, S. Zheng, C. K. Ahn, and S. Wang, “Asynchronous H continuous stabilization of mode-dependent switched mobile robot,” IEEE Trans. Syst. Man, Cybern. Syst., vol. 52, pp. 6906–6920, Nov. 2022. doi: 10.1109/TSMC.2021.3119054
    [39]
    S.-K. Kim, C. K. Ahn, and R. K. Agarwal, “Position-tracking controller for two-wheeled balancing robot applications using invariant dynamic surface,” IEEE Trans. Syst. Man, Cybern. Syst., vol. 51, no. 2, pp. 705–711, Feb. 2021. doi: 10.1109/TSMC.2018.2882868
    [40]
    M.-G. Unguritu and T.-C. Nichiţelea, “Design and assessment of an anti-lock braking system controller,” Roman. J. Inf. Sci. Technol., vol. 26, no. 1, pp. 21–32, 2023.

Catalog

    通讯作者: 陈斌, bchen63@163.com
    • 1. 

      沈阳化工大学材料科学与工程学院 沈阳 110142

    1. 本站搜索
    2. 百度学术搜索
    3. 万方数据库搜索
    4. CNKI搜索

    Figures(8)  / Tables(2)

    Article Metrics

    Article views (447) PDF downloads(91) Cited by()

    /

    DownLoad:  Full-Size Img  PowerPoint
    Return
    Return