A journal of IEEE and CAA , publishes high-quality papers in English on original theoretical/experimental research and development in all areas of automation
Volume 13 Issue 1
Jan.  2026

IEEE/CAA Journal of Automatica Sinica

  • JCR Impact Factor: 19.2, Top 1 (SCI Q1)
    CiteScore: 28.2, Top 1% (Q1)
    Google Scholar h5-index: 95, TOP 5
Turn off MathJax
Article Contents
Z. Sun, Z. Li, B. Chen, Y. Zhou, J. Zheng, and Z. Man, “A further study on terminal sliding mode control for nonlinear systems,” IEEE/CAA J. Autom. Sinica, vol. 13, no. 1, pp. 43–56, Jan. 2026. doi: 10.1109/JAS.2025.125240
Citation: Z. Sun, Z. Li, B. Chen, Y. Zhou, J. Zheng, and Z. Man, “A further study on terminal sliding mode control for nonlinear systems,” IEEE/CAA J. Autom. Sinica, vol. 13, no. 1, pp. 43–56, Jan. 2026. doi: 10.1109/JAS.2025.125240

A Further Study on Terminal Sliding Mode Control for Nonlinear Systems

doi: 10.1109/JAS.2025.125240
Funds:  This work was supported by the National Natural Science Foundation of China (62473337, 62003305), the Key Research and Development Program of Zhejiang Province (2024C03040, 2022C03029), and the Leading Innovative and Entrepreneur Team Introduction Program of Zhejiang Province (2023R01006)
More Information
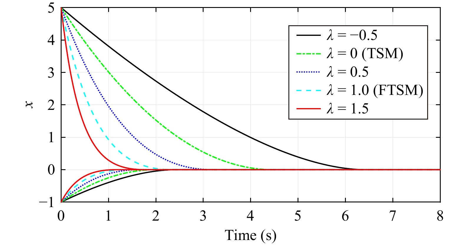
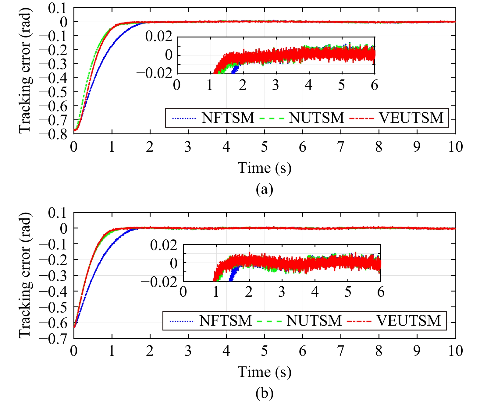
  • In this paper, a unified terminal sliding mode (UTSM) control method is proposed for second-order nonlinear systems with uncertainties and disturbances. It is seen that the newly defined terminal sliding surface is integrated with both conventional and fast terminal sliding mode and exhibits design advantages such as a variable exponent, adjustable sliding mode parameters, and chattering-alleviation effect. The inherent dynamic properties of the closed-loop systems with the UTSM control are discussed in detail via the phase plane and Lyapunov stability theory. Both numerical simulations and experimental results show the flexible sliding manifold design, strong robustness against uncertain dynamics, and effective attenuation of chattering phenomenon.

     

  • loading
  • [1]
    V. Utkin, “Variable structure systems with sliding modes,” IEEE Trans. Autom. Control, vol. 22, no. 2, pp. 212–222, 1977. doi: 10.1109/TAC.1977.1101446
    [2]
    Z. Man and X. Yu, “Terminal sliding mode control of MIMO linear systems,” IEEE Trans. Circuits and Systems I: Fundamental Theory and Applications, vol. 44, no. 11, pp. 1065–1070, 1997.
    [3]
    Y. Wu, X. Yu, and Z. Man, “Terminal sliding mode control design for uncertain dynamic systems,” Systems and Control Letters, vol. 34, no. 5, pp. 281–287, 1998. doi: 10.1016/S0167-6911(98)00036-X
    [4]
    Y. Feng, X. Yu, and Z. Man, “Non-singular terminal sliding mode control of rigid manipulators,” Automatica, vol. 38, no. 12, pp. 2159–2167, 2002. doi: 10.1016/S0005-1098(02)00147-4
    [5]
    S.-Y. Chen and F.-J. Lin, “Robust nonsingular terminal sliding-mode control for nonsingular magnetic bearing system,” IEEE Trans. Control Systems Technology, vol. 19, no. 3, pp. 636–643, 2011. doi: 10.1109/TCST.2010.2050484
    [6]
    Z. Sun, H. Xie, J. Zheng, Z. Man, and D. He, “Path-following control of Mecanum-wheels omnidirectional mobile robots using nonsingular terminal sliding mode,” Mechanical Systems and Signal Processing, vol. 147, p. 107128, 2021. doi: 10.1016/j.ymssp.2020.107128
    [7]
    X. Yu and Z. Man, “Fast terminal sliding-mode control design for nonlinear dynamical systems,” IEEE Trans. Circuits and Systems I: Fundamental Theory and Applications, vol. 49, no. 2, pp. 261–264, 2002.
    [8]
    S. Yu, X. Yu, B. Shirinzadeh, and Z. Man, “Continuous finite-time control for robotic manipulators with terminal sliding mode,” Automatica, vol. 41, no. 11, pp. 1957–1964, 2005. doi: 10.1016/j.automatica.2005.07.001
    [9]
    A. Polyakov, “Nonlinear feedback design for fixed-time stabilization of linear control systems,” IEEE Trans. Autom. Control, vol. 57, no. 8, pp. 2106–2110, 2012. doi: 10.1109/TAC.2011.2179869
    [10]
    L. Yang and J. Yang, “Nonsingular fast terminal sliding-mode control for nonlinear dynamical systems,” Int. J. Robust and Nonlinear Control, vol. 21, no. 16, pp. 1865–1879, 2011. doi: 10.1002/rnc.1666
    [11]
    Z. Zuo, “Non-singular fixed-time terminal sliding mode control of non-linear systems,” IET Control Theory and Applications, vol. 9, no. 4, pp. 545–552, 2015. doi: 10.1049/iet-cta.2014.0202
    [12]
    A. Polyakov and L. Fridman, “Stability notions and Lyapunov functions for sliding mode control systems,” J. Franklin Institute, vol. 351, no. 4, pp. 1831–1865, 2014. doi: 10.1016/j.jfranklin.2014.01.002
    [13]
    E. Tahoumi, F. Plestan, G. Malek, and J. P. Barbot, “New robust control schemes based on both linear and sliding mode approaches: Design and application to an electropneumatic actuator,” IEEE Trans. Control Systems Technology, vol. 29, no. 2, pp. 818–825, 2021. doi: 10.1109/TCST.2019.2955045
    [14]
    E. Moulay, V. Léchappé, E. Bernuau, and F. Plestan, “Robust fixed-time stability: Application to sliding-mode control,” IEEE Trans. Autom. Control, vol. 67, no. 2, pp. 1061–1066, 2022. doi: 10.1109/TAC.2021.3069667
    [15]
    E. Moulay, V. Léchappé, E. Bernuau, M. Defoort, and F. Plestan, “Fixed-time sliding mode control with mismatched disturbances,” Automatica, vol. 136, p. 110009, 2022. doi: 10.1016/j.automatica.2021.110009
    [16]
    V. Utkin, “Discussion aspects of high-order sliding mode control,” IEEE Trans. Autom. Control, vol. 61, no. 3, pp. 829–833, 2016. doi: 10.1109/TAC.2015.2450571
    [17]
    S. Bhat and D. Bernstein, “Finite-time stability of continuous autonomous systems,” SIAM J. Control and Optimization, vol. 38, no. 3, pp. 751–766, 2000. doi: 10.1137/S0363012997321358
    [18]
    Y. Hong and Z. Jiang, “Finite-time stabilization of nonlinear systems with parametric and dynamic uncertainties,” IEEE Trans. Autom. Control, vol. 51, no. 12, pp. 1950–1956, 2006. doi: 10.1109/TAC.2006.886515
    [19]
    M. Sun, “Two-phase attractors for finite-duration consensus of multiagent systems,” IEEE Trans. Systems, Man, and Cybern.: Systems, vol. 50, no. 5, pp. 1757–1765, 2020. doi: 10.1109/TSMC.2017.2785314
    [20]
    A. Mousavi, A. H. D. Markazi, and A. Ferrara, “A barrier-function-based second-order sliding mode control with optimal reaching for full-state and input-constrained nonlinear systems,” IEEE Trans. Autom. Control, vol. 69, no. 1, pp. 395–402, 2024. doi: 10.1109/TAC.2023.3263076
    [21]
    D. Zhang, J. Hu, J. Cheng, Z. Wu, and H. Yan, “A novel disturbance observer based fixed-time sliding mode control for robotic manipulators with global fast convergence,” IEEE/CAA J. Autom. Sinica, vol. 11, no. 3, pp. 661–672, 2024. doi: 10.1109/JAS.2023.123948
    [22]
    W. Sun, J. Lin, S. Sun, N. Wang, and M. Er, “Reduced adaptive fuzzy decoupling control for lower limb exoskeleton,” IEEE Trans. Cybern., vol. 51, no. 3, pp. 1099–1109, 2021. doi: 10.1109/TCYB.2020.2972582

Catalog

    通讯作者: 陈斌, bchen63@163.com
    • 1. 

      沈阳化工大学材料科学与工程学院 沈阳 110142

    1. 本站搜索
    2. 百度学术搜索
    3. 万方数据库搜索
    4. CNKI搜索

    Figures(19)  / Tables(1)

    Article Metrics

    Article views (1031) PDF downloads(110) Cited by()

    /

    DownLoad:  Full-Size Img  PowerPoint
    Return
    Return