A journal of IEEE and CAA , publishes high-quality papers in English on original theoretical/experimental research and development in all areas of automation
Volume 13 Issue 1
Jan.  2026

IEEE/CAA Journal of Automatica Sinica

  • JCR Impact Factor: 19.2, Top 1 (SCI Q1)
    CiteScore: 28.2, Top 1% (Q1)
    Google Scholar h5-index: 95, TOP 5
Turn off MathJax
Article Contents
J. Wu, Z. Cao, E. Tian, and C. Peng, “Switching-like sliding mode security control against DoS attacks: A novel attack-related adaptive event-triggered scheme,” IEEE/CAA J. Autom. Sinica, vol. 13, no. 1, pp. 137–148, Jan. 2026. doi: 10.1109/JAS.2025.125189
Citation: J. Wu, Z. Cao, E. Tian, and C. Peng, “Switching-like sliding mode security control against DoS attacks: A novel attack-related adaptive event-triggered scheme,” IEEE/CAA J. Autom. Sinica, vol. 13, no. 1, pp. 137–148, Jan. 2026. doi: 10.1109/JAS.2025.125189

Switching-Like Sliding Mode Security Control Against DoS Attacks: A Novel Attack-Related Adaptive Event-Triggered Scheme

doi: 10.1109/JAS.2025.125189
Funds:  This work was supported in part by Shanghai Natural Science Foundation (24ZR1454700), the National Natural Science Foundation of China (62503331, 62533016, 62573279, 62173231, 62203288), and Shanghai Pujiang Program (23PJD033)
More Information
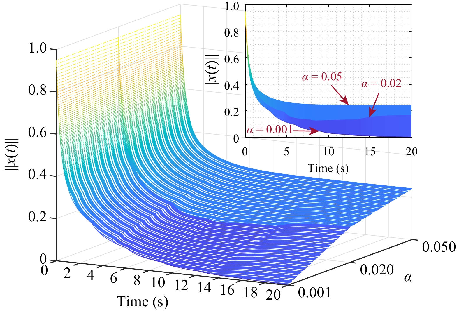
  • In this paper, a security defense issue is investigated for networked control systems susceptible to stochastic denial of service (DoS) attacks by using the sliding mode control method. To utilize network communication resources more effectively, a novel adaptive event-triggered (AET) mechanism is introduced, whose triggering coefficient can be adaptively adjusted according to the evolution trend of system states. Differing from existing event-triggered (ET) mechanisms, the proposed one demonstrates exceptional relevance and flexibility. It is closely related to attack probability, and its triggering coefficient dynamically adjusts depending on the presence or absence of an attack. To leverage attacker information more effectively, a switching-like sliding mode security controller is designed, which can autonomously select different controller gains based on the sliding function representing the attack situation. Sufficient conditions for the existence of the switching-like sliding mode secure controller are presented to ensure the stochastic stability of the system and the reachability of the sliding surface. Compared with existing time-invariant control strategies within the triggered interval, more resilient defense performance can be expected since the correlation with attack information is established in both the proposed AET scheme and the control strategy. Finally, a simulation example is conducted to verify the effectiveness and feasibility of the proposed security control method.

     

  • loading
  • [1]
    X. Ge, Q.-L. Han, X.-M. Zhang, and D. Ding, “Communication resource-efficient vehicle platooning control with various spacing policies,” IEEE/CAA J. Autom. Sinica, vol. 11, no. 2, pp. 362–376, 2023.
    [2]
    R. A. Gupta and M.-Y. Chow, “Networked control system: Overview and research trends,” IEEE Trans. Industrial Electronics, vol. 57, no. 7, pp. 2527–2535, 2010. doi: 10.1109/TIE.2009.2035462
    [3]
    M. Taheri, K. Khorasani, and N. Meskin, “On zero dynamics and controllable cyber-attacks in cyber-physical systems and dynamic coding schemes as their countermeasures,” IEEE/CAA J. Autom. Sinica, vol. 11, no. 11, pp. 2191–2203, 2024. doi: 10.1109/JAS.2024.124692
    [4]
    Z. Peng, J. Wang, D. Wang, and Q.-L. Han, “An overview of recent advances in coordinated control of multiple autonomous surface vehicles,” IEEE Trans. Industrial Informatics, vol. 17, no. 2, pp. 732–745, 2021. doi: 10.1109/TII.2020.3004343
    [5]
    L. D’Alfonso, F. Giannini, G. Franzè, G. Fedele, F. Pupo, and G. Fortino, “Autonomous vehicle platoons in urban road networks: A joint distributed reinforcement learning and model predictive control approach,” IEEE/CAA J. Autom. Sinica, vol. 11, no. 1, pp. 141–156, 2024. doi: 10.1109/JAS.2023.123705
    [6]
    E. Tian, M. Fan, L. Ma, and D. Yue, “Stochastic important-data-based attack power allocation against remote state estimation in sensor networks,” IEEE Trans. Autom. Control, vol. 70, no.3, pp. 2012−2019, 2025. doi: 10.1109/TAC.2024.3477009
    [7]
    X.-M. Zhang, Q.-L. Han, B.-L. Zhang, X. Ge, and D. Zhang, “Accumulated-state-error-based event-triggered sampling scheme and its application to H control of sampled-data systems,” Science China Information Sciences, vol. 67, no. 6, p. 162206, 2024. doi: 10.1007/s11432-023-4038-3
    [8]
    Z. Zhang, C. Wen, L. Xing, and Y. Song, “Adaptive event-triggered control of uncertain nonlinear systems using intermittent output only,” IEEE Trans. Autom. Control, vol. 67, no. 8, pp. 4218–4225, 2021.
    [9]
    G. Delimpaltadakis, L. Laurenti, and M. Mazo, “Formal analysis of the sampling behaviour of stochastic event-triggered control,” IEEE Trans. Autom. Control, vol. 69, no. 7, pp. 4491–4505, 2024. doi: 10.1109/TAC.2023.3333748
    [10]
    R. Kato, A. Cetinkaya, and H. Ishii, “Linearization-based quantized stabilization of nonlinear systems under DoS attacks,” IEEE Trans. Autom. Control, vol. 67, no. 12, pp. 6826–6833, 2021.
    [11]
    S. Feng, A. Cetinkaya, H. Ishii, P. Tesi, and C. De Persis, “Networked control under DoS attacks: Tradeoffs between resilience and data rate,” IEEE Trans. Autom. Control, vol. 66, no. 1, pp. 460–467, 2020.
    [12]
    X. Ge, Q.-L. Han, Q. Wu, and X.-M. Zhang, “Resilient and safe platooning control of connected automated vehicles against intermittent denial-of-service attacks,” IEEE/CAA J. Autom. Sinica, vol. 10, no. 5, pp. 1234–1251, 2023. doi: 10.1109/JAS.2022.105845
    [13]
    J. Wu, C. Peng, J. Zhang, and E. Tian, “A sampled-data-based secure control approach for networked control systems under random DoS attacks,” IEEE Trans. Cybernetics, vol. 54, no. 8, pp. 4841–4851, 2024. doi: 10.1109/TCYB.2024.3350331
    [14]
    M. Wakaiki, A. Cetinkaya, and H. Ishii, “Stabilization of networked control systems under DoS attacks and output quantization,” IEEE Trans. Autom. Control, vol. 65, no. 8, pp. 3560–3575, 2019.
    [15]
    Z. Hu, S. Liu, W. Luo, and L. Wu, “Resilient distributed fuzzy load frequency regulation for power systems under cross-layer random denial-of-service attacks,” IEEE Trans. Cybernetics, vol. 52, no. 4, pp. 2396–2406, 2020.
    [16]
    H. Zhao, Y. Niu, and J. Zhao, “Event-triggered sliding mode control of uncertain switched systems under denial-of-service attacks,” J. Franklin Institute, vol. 356, no. 18, pp. 11 414–11 433, 2019. doi: 10.1016/j.jfranklin.2019.03.044
    [17]
    Y. Yang, Y. Niu, and J. Lam, “Interval type-2 fuzzy sliding mode resilient control via probability-dependent adaptive event-triggered scheme,” IEEE Trans. Systems, Man, and Cybernetics: Systems, vol. 53, no. 6, pp. 3474–3484, 2023. doi: 10.1109/TSMC.2022.3227607
    [18]
    N. Zhao, P. Shi, W. Xing, and C. P. Lim, “Resilient adaptive event-triggered fuzzy tracking control and filtering for nonlinear networked systems under denial-of-service attacks,” IEEE Trans. Fuzzy Systems, vol. 30, no. 8, pp. 3191–3201, 2021.
    [19]
    L. Lu, M. Xia, W. Qi, H. Yan, H. He, J. Cheng, and K. Shi, “Adaptive event-triggered resilient stabilization for nonlinear semi-Markov jump systems subject to DoS attacks,” Inter. J. Robust and Nonlinear Control, vol. 33, no. 3, pp. 1914–1929, 2023. doi: 10.1002/rnc.6474
    [20]
    Z. Wu, Y. Zhao, F. Li, T. Yang, Y. Shi, and W. Gui, “Asynchronous learning-based output feedback sliding mode control for semi-Markov jump systems: A descriptor approach,” IEEE/CAA J. Autom. Sinica, vol. 11, no. 6, pp. 1358–1369, 2024. doi: 10.1109/JAS.2024.124416
    [21]
    Y. Zheng, J. Zheng, K. Shao, H. Zhao, H. Xie, and H. Wang, “Adaptive trajectory tracking control for nonholonomic wheeled mobile robots: A barrier function sliding mode approach,” IEEE/CAA J. Autom. Sinica, vol. 11, no. 4, pp. 1007–1021, 2024. doi: 10.1109/JAS.2023.124002
    [22]
    B.-C. Zheng, L. Guo, X. Liu, Z. Gu, and Y. Zhao, “Robust security control under denial-of-service jamming attacks: An event-triggered sliding-mode control approach,” Inter. J. Control Autom. and Systems, vol. 20, no. 12, pp. 3892–3902, 2022. doi: 10.1007/s12555-021-0601-3
    [23]
    Z. Ye, D. Zhang, J. Cheng, and Z.-G. Wu, “Event-triggering and quantized sliding mode control of UMV systems under DoS attack,” IEEE Trans. Vehicular Technology, vol. 71, no. 8, pp. 8199–8211, 2022. doi: 10.1109/TVT.2022.3175726
    [24]
    X. Bu, W. Yu, Y. Yin, and Z. Hou, “Event-triggered data-driven control for nonlinear systems under frequency-duration-constrained DoS attacks,” IEEE Trans. Information Forensics and Secruiry, vol. 18, pp. 1449–1460, 2023. doi: 10.1109/TIFS.2022.3233154
    [25]
    C. Peng, M. Yang, J. Zhang, M. Fei, and S. Hu, “Network-based H control for T-S fuzzy systems with an adaptive event-triggered communication scheme,” Fuzzy Sets and Systems, vol. 329, pp. 61–76, 2017. doi: 10.1016/j.fss.2016.12.011
    [26]
    Y. Wang, Y. Xia, C. K. Ahn, and Y. Zhu, “Exponential stabilization of Takagi-Sugeno fuzzy systems with aperiodic sampling: An aperiodic adaptive event-triggered method,” IEEE Trans. Systems, Man, and Cybernetics: Systems, vol. 49, no. 2, pp. 444–454, 2019. doi: 10.1109/TSMC.2018.2834967
    [27]
    C. Peng, J. Wu, and E. Tian, “Stochastic event-triggered H control for networked systems under denial of service attacks,” IEEE Trans. Systems, Man, and Cybernetics: Systems, vol. 52, no. 7, pp. 4200–4210, 2022. doi: 10.1109/TSMC.2021.3090024
    [28]
    C. Peng and M.-R. Fei, “An improved result on the stability of uncertain T-S fuzzy systems with interval time-varying delay,” Fuzzy Sets and Systems, vol. 212, pp. 97–109, 2013. doi: 10.1016/j.fss.2012.06.009
    [29]
    M. Shen, J. H. Park, and D. Ye, “A separated approach to control of Markov jump nonlinear systems with general transition probabilities,” IEEE Trans. Cybernetics, vol. 46, no. 9, pp. 2010–2018, 2015.
    [30]
    W. H. Kwon, P. S. Kim, and P. Park, “A receding horizon kalman fir filter for linear continuous-time systems,” IEEE Trans. Autom. Control, vol. 44, no. 11, pp. 2115–2120, 1999. doi: 10.1109/9.802927
    [31]
    X.-J. Li and G.-H. Yang, “Fault detection for linear stochastic systems with sensor stuck faults,” Optimal Control Applications and Methods, vol. 33, no. 1, pp. 61–80, 2012. doi: 10.1002/oca.979

Catalog

    通讯作者: 陈斌, bchen63@163.com
    • 1. 

      沈阳化工大学材料科学与工程学院 沈阳 110142

    1. 本站搜索
    2. 百度学术搜索
    3. 万方数据库搜索
    4. CNKI搜索

    Figures(8)  / Tables(3)

    Article Metrics

    Article views (775) PDF downloads(102) Cited by()

    /

    DownLoad:  Full-Size Img  PowerPoint
    Return
    Return